Stammfunktion
sei f(x) gegeben dann ist F(x) eine Stammfunktion von f(x), wenn gilt:
F'(x) = f(x)
Die Stammfunktion ist nicht eindeutig:

F'(x) = f(x)
Die Stammfunktion ist nicht eindeutig:

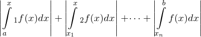
Erster Flächensatz
sind
die zwischen a und b liegende Nullstellen einer integrierbaren Funktion f, so gilt für die Fläche A unter der Funktion f, die durch die Gerade x=a und x=b begrenzt wird.

die zwischen a und b liegende Nullstellen einer integrierbaren Funktion f, so gilt für die Fläche A unter der Funktion f, die durch die Gerade x=a und x=b begrenzt wird. 
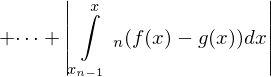
Zweiter Flächensatz
sind f und g zwei integrierbare Funktionen mit
als Schnittpunkte der beiden Graphen so gilt für die eingeschlossene Fläche:


als Schnittpunkte der beiden Graphen so gilt für die eingeschlossene Fläche: 

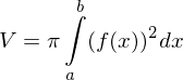
Rotationskörper
Dreht sich das vom Graphen der Funktion f(x), der x-Achse und den vertikalen Gerade x=a und x=b eingeschlossene Flächenstück um die x-Achse, entsteht ein von zwei parallelen Ebene begrenzter Rotationskörper.


Mantelfläche eines Rotationskörpers

Herleitung
Umfang einer "einzelnen" Scheibe des RotationsköpersBogenmaß:

Formeln zusammenführen

Hauptsatz der Differenzial- und Integralrechnung
Für eine von [a;b] stetige Funktion f gilt:
- Die Integralfunktion
c,x in [a;b] ist differenzierbar - Die Ableitung der Integralfunktion ist die Integrandenfunktion: I'(x)=f(x)
Regel zu Stamm- und Integralfunktion
- Jede Integralfunktion von f über [a;b] ist auch auf [a;b] eine Stammfunktion
- Wenn eine Stammfunktion F von f mindestens eine Nullstelle in [a;b] besitzt, dann ist F eine Integralfunktion von f über [a;b].
- Wenn eine Stammfunktion F von f keine Nullstelle in [a;b] besitzt, dann ist F keine Integralfunktion von f über [a;b].
Unbestimmtes Integral
Die Menge aller Stammfunktionen einer Funktion f heißt unbestimmtes Integral von f und wird mit
bezeichnet.
bezeichnet.Symmetrie von Integralfunktion
gegeben ist die Funktion f(x) und die zugehörige Integralfunktion I(x)
- Wenn f(x) symmetrisch bzgl. eines Punkts
ist, dann ist I(x) symmetrisch bzgl. der Achse
. Liegt das Symmetriezentrum von f nicht auf der x-Achse dann weist I(x) keine Symmetrie auf. - Wenn f(x) symmetrisch bzgl. der Achse
ist, dann ist I(x) symmetrisch bzgl. des Punktes 
Monotonie von Integralfunktionen
Eine Integralfunktion
- steigt über dort streng monoton, wo f(x) positiv ist -> der Graph verläuft oberhalb der x-Achse
- fällt über dort streng monoton, wo f(x) negativ ist -> der Graph verläuft unterhalb der x-Achse
Extrema von Integralfunktionen
Eine Integralfunktionen:
- besitzt dort relative Minima, wo die Integrandenfunktion Nullstellen ungerader Ordnung besitzt -> der Graph stößt von unten nach oben durch die x-Achse
- besitzt dort relative Maxima, wo die Integrandenfunktion Nullstellen ungerader Ordnung besitzt -> der Graph stößt von oben nach unten durch die x-Achse
Krümmungsverhalten von Integralfunktionen
Eine Integralfunktion
- ist überall dort rechtssgekrümmt, wo f'(x) negativ ist -> der Graph der Integrandenfunktion fällt also streng monoton.
- ist überall dort linkssgekrümmt, wo f'(x) positiv ist -> der Graph der Integrandenfunktion steigt also streng monoton.
Wendepunkte von Integralfunktionen
Eine Integralfunktion hat dort Wendepunkte, wo die Integrandenfunktion relative Extrema aufweist.
Uneigentliche Integrale 1.Art
Eine oder beide Integrationsgrenzen nehmen beliebig große Wert an.
1.Fall

2.Fall

3.Fall

c ist eine beliebige, aber fest reelle Zahl
1.Fall


2.Fall


3.Fall

c ist eine beliebige, aber fest reelle Zahl
Uneigentliche Integrale 2.Art
Es liegen endliche Integrationsgrenzen vor, jedoch strebt die Integrandenfunktion an den Integrationsgrenzen ins Unendlich (z.B. Polstellen)
1.Fall Funktion ist im geschlossen Intervall [a;b[ integrierbar

2.Fall Funktion ist im geschlossen Intervall ]a;b[ integrierbar

a besitzt z.B. eine Polstelle
1.Fall Funktion ist im geschlossen Intervall [a;b[ integrierbar

2.Fall Funktion ist im geschlossen Intervall ]a;b[ integrierbar

a besitzt z.B. eine Polstelle
Extremwertaufgaben - Vorgehensweise
1. Variable/ Größe feststellen die zu maximieren bzw. zu minimieren ist
2. Nebenbedingungen aus dem Text herauslesen und in Verbindung mit der Variable der Zielfunktion bringen. Wenn es im Text n Variablen gibt, dann wird es n-1 Nebenbedingung geben -> n-1 Gleichungen mit n Unbekannten
3. Gleichung mit einer einzigen Variable aufstellen und sinnvollen Definitionsbereich festlegen
4. Bestimmen der absoluten Maxima bzw. Minima -> Randextrema
2. Nebenbedingungen aus dem Text herauslesen und in Verbindung mit der Variable der Zielfunktion bringen. Wenn es im Text n Variablen gibt, dann wird es n-1 Nebenbedingung geben -> n-1 Gleichungen mit n Unbekannten
3. Gleichung mit einer einzigen Variable aufstellen und sinnvollen Definitionsbereich festlegen
4. Bestimmen der absoluten Maxima bzw. Minima -> Randextrema
Exponentielles Wachsen oder Abnehmen

Wachsen, wenn k> 0
Abnahme, wenn k<0
a ist der Anfangswert -> (0|a)
Beschränktes Wachstum
Funktion 
steigt auf R immer streng monoton
besitzt den Anfangswert (0|
)
Grenzwert p


steigt auf R immer streng monoton
besitzt den Anfangswert (0|
)Grenzwert p

Kartensatzinfo:
Autor: JamesBond007
Oberthema: Mathematik
Thema: Integralrechnung
Veröffentlicht: 07.11.2013
Schlagwörter Karten:
Alle Karten (23)
keine Schlagwörter








