Definiere (linear-) elastisches Verhalten!
Verformung nennt man elastisch, wenn nach einer Belastung mit der
Spannung
bei vollständiger Entlastung die Dehnung
wieder auf 0 zurückgeht.
Folgt der Verlauf von
und
dabei einer Geraden, sind also Spannung und Verformung proportional, spricht man von linearelastischem Verhalten.
Spannung
bei vollständiger Entlastung die Dehnung
wieder auf 0 zurückgeht.Folgt der Verlauf von
und
dabei einer Geraden, sind also Spannung und Verformung proportional, spricht man von linearelastischem Verhalten.Die Härteprüfung nach Knoop ist nach DIN EN ISO 4545 genormt.
- Die Ablesegenauigkeit ist auf Grund der langen Diagonalen sehr gut
- Es können sehr dünne Materialien geprüft werden
- Man verwenet die selbe Maschine wie bei der Vickers-Härteprüfung, man wechselt nur den Diamanten
- HK und HV stimmen auf etwa
überein
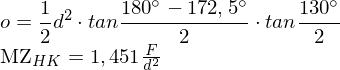
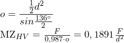
Darstellung der Härte nach Knoop
MZ HK F (z.B. 1200 HK 0,05)
MZ: Härtewert
HK: Bezeichnung der Prüfung nach Knoop
F: Prüfkarft in kp (0,102 N), aber ohne Angabe der Dimension
MZ: Härtewert
HK: Bezeichnung der Prüfung nach Knoop
F: Prüfkarft in kp (0,102 N), aber ohne Angabe der Dimension
Brinell-Härteprüfung: Durchführung und Norm
Prüfkörper: Polierte Hartmetallkugel mit Durchmesser D
Prüflast: 1,96N - 980,7N (0,2 - 100kp)
Messung: Durchmesser des Abdrucks 2x im 90°-Winkel
Mittelwert
Mit dem Mittelwert wird die Oberfläche des Eindrucks berechnet und
anschließend die Härte.
Die Härteprüfung nach Brinell ist nach DIN EN ISO 6506 genormt.
Prüflast: 1,96N - 980,7N (0,2 - 100kp)
Messung: Durchmesser des Abdrucks 2x im 90°-Winkel

Mittelwert
Mit dem Mittelwert wird die Oberfläche des Eindrucks berechnet und
anschließend die Härte.
Die Härteprüfung nach Brinell ist nach DIN EN ISO 6506 genormt.
Wie berechnet man aus den Messungen bei der Härteprüfung
nach Brinell die Härte?
nach Brinell die Härte?
Antwort
Darstellung der Härte nach Brinell
MZ HBW D / F / t (z.B. 150 HBW 2,5 / 62,5 / 30)
MZ: Härtewert
HB: Bezeichnung der Prüfung nach Brinell
W: Material der Prüfkugel; W: Wolframkarbidhartmetall
D: Duchmesser der Prüfkugel
F: Prüfkraft in kp (0,102 N)
T: Einwirkdauer der Prüfkraft in, falls diese von 10 bis 15 s abweicht
Bemerkung: Die Angaben Kugelwerkstoff und Belastungszeit werden
häufig weggelassen (hier: 150 HB 2,5 / 62,5)
MZ: Härtewert
HB: Bezeichnung der Prüfung nach Brinell
W: Material der Prüfkugel; W: Wolframkarbidhartmetall
D: Duchmesser der Prüfkugel
F: Prüfkraft in kp (0,102 N)
T: Einwirkdauer der Prüfkraft in, falls diese von 10 bis 15 s abweicht
Bemerkung: Die Angaben Kugelwerkstoff und Belastungszeit werden
häufig weggelassen (hier: 150 HB 2,5 / 62,5)
Darstellung der Härte nach Brinell
MZ HBW D / F / t (z.B. 150 HBW 2,5 / 62,5 / 30)
MZ: Härtewert
HB: Bezeichnung der Prüfung nach Brinell
W: Material der Prüfkugel; W: Wolframkarbidhartmetall
D: Duchmesser der Prüfkugel
F: Prüfkraft in kp (0,102 N)
T: Einwirkdauer der Prüfkraft in, falls diese von 10 bis 15 s abweicht
Bemerkung: Die Angaben Kugelwerkstoff und Belastungszeit werden
häufig weggelassen (hier: 150 HB 2,5 / 62,5)
MZ: Härtewert
HB: Bezeichnung der Prüfung nach Brinell
W: Material der Prüfkugel; W: Wolframkarbidhartmetall
D: Duchmesser der Prüfkugel
F: Prüfkraft in kp (0,102 N)
T: Einwirkdauer der Prüfkraft in, falls diese von 10 bis 15 s abweicht
Bemerkung: Die Angaben Kugelwerkstoff und Belastungszeit werden
häufig weggelassen (hier: 150 HB 2,5 / 62,5)
Härteprüfverfahren nach Rockwell: Durchführung und Norm
- Bestimmung des Härtewerts mit gemessener Eindrucktiefe
- Der Eindruckkörper ist ein Diamantkegel oder eine gehärtete Stahlkugel
Das Härteprüfverfahren nach Rockwell ist nach DIN EN ISO 6508
genormt.
Berechnung der Rockwell-Härte

h: bleibende Eindringtiefe
s: Skalenteilung in mm
N: abgeleiteter Zahlenwert aus der Erfahrung
Bemerkung: Die Prüfmaschinen rechnen die Härte automatisch aus
und geben das Ergebnis an.
Nenne die beiden wichtigsten Rockwell-Härteskalen
Härteskala C (Diamantkegel, engl.: cone):

Härteskala B (Stahlkugel, engl.: ball):


Härteskala B (Stahlkugel, engl.: ball):

Darstellung der Härte nach Rockwell
Die Rockwell-Härte wird angegeben durch das Symbol für die Härte (HR), dem der Härtewert vorangestellt wird.
So bedeutet z.B. die Angabe 59 HRC, dass die Rockwell-Härte,
gemessen in der Skala C, 59 beträgt.
So bedeutet z.B. die Angabe 59 HRC, dass die Rockwell-Härte,
gemessen in der Skala C, 59 beträgt.
Definiere Amorph
Stoffe mit regelloser Atom- bzw. Molekülanordnung.
Amorphe Körper gleichen unterkühlten Flüssigkeiten, deren Zähigkeit
so hoch ist, dass sie Eigenschaften von Festkörpern haben.
Amorphe Körper gleichen unterkühlten Flüssigkeiten, deren Zähigkeit
so hoch ist, dass sie Eigenschaften von Festkörpern haben.
Definiere Elementarzelle
Die kleinste Einheit, die alle Bestimmungsstücke des Kristalls
enthält, heißt Elementarzelle.
enthält, heißt Elementarzelle.
Definiere Koordinationszahl
Die Koordinationszahl eines Atoms entspricht der Anzahl seiner nächsten Nachbarn
- Jedes Atom eines kp-Gitters hat 6 nächste Nachbarn, deshalb ist die die Koordinationszahl im kp Gitter gleich 6.
Kristallgitter (Packungsdichte)
- Kubisch primitiv: P=52%
- Kubisch raumzentriert: P=68%
- Kubisch Flächenzentiert: P=74% (ABC)
- Hexagonal: P=74% (ABA)
Die Buchstaben in Klammern geben die Stapelfolge der Atome anDefiniere Anisotropie
Anisotropie bezeichnet die Richtungsabhängigkeit der
Eigenschaften eines Stoffes
Eigenschaften eines Stoffes
- Im krz-Eisen ist der E-Modul in Richtung der Raumdiagonalen der Elementarzelle mehr als doppelt so groß wie entlang derWürfelkanten.
- Bei Berechnungen geht man meist von isotropen Werkstoffen aus.
Millersche Indizes
Die Kennzeichnug für eine Gerade/Ebene bzw. alle gleichwertigen
Geraden/Ebenen erfolgt wie angegeben:
[Gerade]
<alle gleichwertigen Geraden>
(Ebene)
{alle gleichwertigen Ebenen}
Geraden/Ebenen erfolgt wie angegeben:
[Gerade]
<alle gleichwertigen Geraden>
(Ebene)
{alle gleichwertigen Ebenen}
- Ein Querstrich über einem Index kennzeichnet einen negativen Achsabschnitt
- Die Indizierung eines hex-Kristallsystems erfordert 4 Indizes
Definiere Korn
Als Körner bezeichnet man die vielen, kleinen Kristalle aus denen ein realer Werkstoff aufgebaut ist.
Von wenigen Ausnahmen abgesehen, bestehen reale Werkstoffe
nicht aus einem einzigen Kristall. Vielmehr bestehen sie aus sehr
vielen, mehr oder weniger reglos angeordneten, miteinander
verwachsenen, sehr kleinen Kristallen. Ein
Material kann leicht
zwischen
und
dieser Kleinen Kristalle enthalten.
Von wenigen Ausnahmen abgesehen, bestehen reale Werkstoffe
nicht aus einem einzigen Kristall. Vielmehr bestehen sie aus sehr
vielen, mehr oder weniger reglos angeordneten, miteinander
verwachsenen, sehr kleinen Kristallen. Ein
Material kann leichtzwischen
und
dieser Kleinen Kristalle enthalten.Definiere Korngrenze
Der Begriff Korngrenze beschreibt die Übergangszone zwischen
benachbarten Kristallen gleichen Gitters, die so gegeneinander
verdreht und verkippt sind, dass sie schlecht zusammen passen.
benachbarten Kristallen gleichen Gitters, die so gegeneinander
verdreht und verkippt sind, dass sie schlecht zusammen passen.
Nenne Punktförmige Gitterbaufehler
auch Nulldimensional genannt
Leerstellen
Fremdatome auf Gitterplätzen des Wirtsgitters
Fremdatome zwischen Gitterplätzen des Wirtsgitters
Frenkel-Defekte
Leerstellen
Fremdatome auf Gitterplätzen des Wirtsgitters
- Austausch- oder Substitutionsmischkristall
- Atomradiendifferenz höchstens 15%
Fremdatome zwischen Gitterplätzen des Wirtsgitters
- Einlagerungs- oder interstitieller Mischkristall
- H, O, N, C, B - Atome
Frenkel-Defekte
- Paarbildung von Leerstelle und Zwischengitteratom
- durch Neutronenbeschuss
- Werkstoffversprödung
Nenne Linienförmige Gitterbaufehler
auch eindimensional genannt
Stufenversetzung
Schraubenversetzung
Stufenversetzung
- Abgleiten einer Ebene in Folge von flächig wirkender Schubspannung
Schraubenversetzung
- Abgleiten in Folge von linienförmig wirkender Schubspannung auf eine Kante
Nenne Flächige Gitterbaufehler
auch zweidimensional genannt
sind alle Grenzen eines Kristalls
Außenoberflächen
Korngrenzen (Kristalle gleichen Gitters)
Phasengrenzen (Kristalle ungleichen Gitters)
Anti-Phasengrenzen
Zwillingsgrenzen
Stapelfehler (kfz und hex)
sind alle Grenzen eines Kristalls
Außenoberflächen
Korngrenzen (Kristalle gleichen Gitters)
Phasengrenzen (Kristalle ungleichen Gitters)
Anti-Phasengrenzen
- Stapelfehler atomar geordneter Legierungen
Zwillingsgrenzen
- Kristallteile, die in einer symmetrischen Kipplage zum Grundkristall gewachsen sind und von Stapelfehlern begrenzt werden
Stapelfehler (kfz und hex)
Nenne Räumliche Gitterbaufehler
auch dreidimensional genannt
Ausscheidungen (lokale Ansammlungen von Fremdatomen)
Einschlüsse (Schlacke, Formsand)
Mikrorisse
Mikroporen
Zwillinge
Ausscheidungen (lokale Ansammlungen von Fremdatomen)
Einschlüsse (Schlacke, Formsand)
Mikrorisse
Mikroporen
Zwillinge
Definiere Phasengrenze
Der Begriff Phasengrenze (oder Phasengrenzfläche) beschreibt
die Grenze an der Kristalle von unterschiedlichem Stoff und/oder
Gittertyp aneinander stoßen.
die Grenze an der Kristalle von unterschiedlichem Stoff und/oder
Gittertyp aneinander stoßen.
Definiere Zwilling
Kristallteile, die in einer symmetrischen Kipplage zum
Grundkristall gewachsen sind.
Grundkristall gewachsen sind.
- tritt hauptsächlich in Werkstoffen mit geringer Stapelfehlerenergie auf (z.B. Aluminium)
Definiere Diffusion
Zeit- und temperaturabhängige Wanderung von Atomen oder
Molekülen in Stoffen.
Leerstellendiffusion
Interstitielle Diffusion
Frenkel-Defekt
Ringaustauschmechanismus
Molekülen in Stoffen.
- meist Ausgleich von lokalen Konzentrationsgradienten
- selten Aufbau von Konzentrationsgradienten
Leerstellendiffusion
- durch temperaturabhängige Gitterschwingung und das Bestreben nach Konzentrationsausgleich
Interstitielle Diffusion
- duch temperaturabhängige Gitterschwingung und Zufall
Frenkel-Defekt
- durch sehr viel Energie i.A. durch Neutronenbeschuss (KKW)
Ringaustauschmechanismus
- durch sehr viel Energie, daher sehr unüblich
Formel Stationäre Diffusion
Der Diffusionsfluss
ist unabhängig von der Zeit



m : Stoffmenge
S : Querschnitt
t : Zeit
c : Konzentration
x : Diffusionsweg
ist unabhängig von der Zeit


m : Stoffmenge
S : Querschnitt
t : Zeit
c : Konzentration
x : Diffusionsweg
Vorteil der Härteprüfungen gegenüber anderen mechanischen
Prüfverfahren
Prüfverfahren
Härteprüfungen werden anderen mechanischen Prüfverfahren oft
vorgezogen, weil sie nur eine geringe Beeinträchtigung der
Oberfläche verursachen, statt große Materialvolumen zu verformen.
Messung der Härte viel einfacher und schneller
günstiger
vorgezogen, weil sie nur eine geringe Beeinträchtigung der
Oberfläche verursachen, statt große Materialvolumen zu verformen.
Messung der Härte viel einfacher und schneller
günstigerDarstellung der Härte nach Brinell
MZ HBW D / F / t (z.B. 150 HBW 2,5 / 62,5 / 30)
MZ: Härtewert
HB: Bezeichnung der Prüfung nach Brinell
W: Material der Prüfkugel; W: Wolframkarbidhartmetall
D: Duchmesser der Prüfkugel
F: Prüfkraft in kp (0,102 N)
T: Einwirkdauer der Prüfkraft in, falls diese von 10 bis 15 s abweicht
Bemerkung: Die Angaben Kugelwerkstoff und Belastungszeit werden
häufig weggelassen (hier: 150 HB 2,5 / 62,5)
MZ: Härtewert
HB: Bezeichnung der Prüfung nach Brinell
W: Material der Prüfkugel; W: Wolframkarbidhartmetall
D: Duchmesser der Prüfkugel
F: Prüfkraft in kp (0,102 N)
T: Einwirkdauer der Prüfkraft in, falls diese von 10 bis 15 s abweicht
Bemerkung: Die Angaben Kugelwerkstoff und Belastungszeit werden
häufig weggelassen (hier: 150 HB 2,5 / 62,5)
Definiere Kirkendall-Effekt
Die Phänomene des ungleichen Stoffaustauschs bei der
Diffusion nennt man Kirkendall-Effekt.
Ungleicher Stoffaustausch führt zu
Ausgeprägte Kirkendall-Porosität beobachtet man nur nach
verhältnismäßig langen Glühungen bei hohen Temperaturen.
Diffusion nennt man Kirkendall-Effekt.
Ungleicher Stoffaustausch führt zu
- Porenbildung auf der Seite, die mehr Material an den Partner abgibt
- aufgeworfenen Wülsten auf der Seite, in die der schnellere Diffusionspartner eindringt
Ausgeprägte Kirkendall-Porosität beobachtet man nur nach
verhältnismäßig langen Glühungen bei hohen Temperaturen.
Formel nichtstationäre Diffusion; konstante Quelle
2. Ficksches Gesetz




- Eine Vervierfachung der Zeit hat (nur) eine Verdopplung der Eindringtiefe zur Folge
Formel Diffusionskoeffizient

D: Diffusionskoeffizient

Q: Aktivierungsenergie

Energieaufwand, der für Platzwechsel aufgebrachtwerden muss
Theoretische Schubfestigkeit
In dieser Modellvorstellung sind Atome harte, unverformbare
Kugeln.
Kugeln.
- Die theoretische Schubfestigkeit führt zur Verschiebung der oberen gegen die untere Atomlage (Bild 12.1)
- Wenn
beträgt die Schubfestigkeit 0 (labiles Gleichgewicht) - Bleibende Abgleitung um einen Atomabstand nur möglich wenn
den größten inneren Verschiebewiderstand
bei überwindet
Definiere kritische Schubspannung
Darunter versteht man die niedrigste Schubspannung unter der
sich Einkristalle zur plastischen Abgleitung bringen lassen.
sich Einkristalle zur plastischen Abgleitung bringen lassen.
Schubspannungen bei Versetzungen
Für kleine Verschiebungen gilt HOOKEsches Gesetz
außerdem gilt für
:
wirklicher Verlauf der Schubspannungen führen auf theoretische
Schubfestigkeiten
abhängig vom Kristallsystem.
Reale Werte unterscheiden sich von Theoretischen um mehrere
Zehnerpotenzen, weil Atome eben doch keine Tennisbälle sind (vgl.
Theoretische Schubfestigkeit).
außerdem gilt für
:
wirklicher Verlauf der Schubspannungen führen auf theoretische
Schubfestigkeiten
abhängig vom Kristallsystem.Reale Werte unterscheiden sich von Theoretischen um mehrere
Zehnerpotenzen, weil Atome eben doch keine Tennisbälle sind (vgl.
Theoretische Schubfestigkeit).
Nenne Arten von Versetzungen
- Schraubenversetzungen
- Stufenversetzungen
reale Versetzungen können gemischt auftreten
Definiere Versetzung
Versetzungen sind linienförmige bzw. eindimensionale
Gitterbaufehler.
Gitterbaufehler.
- Atome sind keine Kugel und lassen sich von äußeren Kräften elastisch auseinanderzerren oder zusammendrücken
- Dadurch lassen sich Atomebenen unter sehr viel kleinerer Schubspannung verschieben als im Kugelmodell, da nur ein sehr vielkleinerer Anteil Atome gleichzeitig über den Kritischen Punktgeschoben werden muss
- So entstehen Versetzungen
Beschreibung von Versetzungen
Versetzungen werden durch die Lage der Versetzungslinie und
ihren Burgers-Vektor beschrieben.
Burgers-Vektor:
Einmal im Uhrzeigersinn um den Durchstoßpunkt der Versetzungslinie
"laufen". In alle Richtungen gleich viele Schritte.
Bei Stufenversetzungen z.B ist der BV senkrecht zur Versetzungslinie
und im einfachsten Fall ist der Abstand bzw Betrag des
Burgersvektors gleich einem Atomabstande.
ihren Burgers-Vektor beschrieben.
Burgers-Vektor:
Einmal im Uhrzeigersinn um den Durchstoßpunkt der Versetzungslinie
"laufen". In alle Richtungen gleich viele Schritte.
- Ein Schritt fehlt. Dieser fehlende Schritt ist in Betrag und Richtung der Burgers-Vektor
Bei Stufenversetzungen z.B ist der BV senkrecht zur Versetzungslinie
und im einfachsten Fall ist der Abstand bzw Betrag des
Burgersvektors gleich einem Atomabstande.
Bedeutung des Burgers-Vektors
Eine Versetzung wird kristallographisch beschrieben durch die
Lage der Versetzungslinie und durch ihren Burgers-Vektor.
Der Burgers-Vektor ist bei Stufenversetzung immer senkrecht zur
Versetzungslinie.
Der Burgers-Vektor ist bei Schraubenversetzung immer parallel zur
Versetzungslinie.
Lage der Versetzungslinie und durch ihren Burgers-Vektor.
Der Burgers-Vektor ist bei Stufenversetzung immer senkrecht zur
Versetzungslinie.
Der Burgers-Vektor ist bei Schraubenversetzung immer parallel zur
Versetzungslinie.
Nachweis von Versetzungen
Hohe Wachstumsgeschwindigkeit von Kristallen.
- Wachstum von Kristallen wäre ohne die Existenz von Schraubenversetzungen nicht so schnell wie es ist.(Wachstumsspiralen
- Endgültiger Nachweis erst durch starke Elektronenmikroskope in den 50er Jahren.
Seite 166/167)Scherung in Abhängigkeit der Versetzungsdichte
Die Scherung, die eine gegebene Anzahl von Versetzungen an einem Kristall verursachen kann, beträgt rein rechnerisch:

N: Versetzungsdichte
L_m: mittlerer Laufweg einer Versetzung
(beträgt im Mittel etwa einen halben Korndurchmesser, da die
Korngrenze für die Versetzung ein starkes Hindernis darstellt)
Tatsächlich kommen aber Effekte der Versetzungsmultiplikation hinzu,die für eine 10-100 mal höhere Verformung sorgen!

N: Versetzungsdichte
L_m: mittlerer Laufweg einer Versetzung
(beträgt im Mittel etwa einen halben Korndurchmesser, da die
Korngrenze für die Versetzung ein starkes Hindernis darstellt)
Tatsächlich kommen aber Effekte der Versetzungsmultiplikation hinzu,die für eine 10-100 mal höhere Verformung sorgen!
Definiere Versetzungsmultiplikation
Versetzungsmultiplikation beschreibt den Effekt, dass bei schon verhältnismäßig niedriger Spannung Verformungen des Materials entstehen können.
Hierbei stellt man sich eine Versetzung (1) vor, die zwischen zwei
Hindernissen hängengeblieben ist.
Wollte man diese Versetzung noch einen weiteren Atomabstand
verschieben (Versetzung (2)), so würde die dafür benötigte Energie
die Bindungskräfte überschreiten.
Stattdessen kommt es (schon bei niedrigerer Spannung) zur
Ausbauchung der Versetzung (1), so dass für die nachrückende
Versetzung (2) genug Platz ist.
Hierbei stellt man sich eine Versetzung (1) vor, die zwischen zwei
Hindernissen hängengeblieben ist.
Wollte man diese Versetzung noch einen weiteren Atomabstand
verschieben (Versetzung (2)), so würde die dafür benötigte Energie
die Bindungskräfte überschreiten.
Stattdessen kommt es (schon bei niedrigerer Spannung) zur
Ausbauchung der Versetzung (1), so dass für die nachrückende
Versetzung (2) genug Platz ist.
- weitere Verformung ohne Überwindung der Bindungskräfte!
- Erklärung für große plastische Dehnungen realer Metalle
Definiere Frank-Read-Quelle
Als FRANK-READ-Quelle bezeichnet man eine Anordnung, bei
der durch Versetzungsmultiplikation bis zu mehrere hundert
Schleifen (Versetzungsringe) ausgesendet werden.
der durch Versetzungsmultiplikation bis zu mehrere hundert
Schleifen (Versetzungsringe) ausgesendet werden.
Durch Versetzungen erzeugte Spannungsfelder
Das Spannungsfeld um eine Schraubenversetzung ist
axialsymmetrisch und klingt mit
ab.
Die Spannungen um eine Stufenversetzung klingen ebenfalls mit
ab.
Allerdings sieht hier das Spannungsfeld komplizierter aus:
Es herrschen
oberhalb der Gleitebene Druck-
unterhalb der Gleitebene Zug-Spannungen
Die Normalspannungen um eine Stufenversetzung sind von
ähnlicher Größe wie die Schubspannungen um eine
Schraubenversetzung
axialsymmetrisch und klingt mit
ab.Die Spannungen um eine Stufenversetzung klingen ebenfalls mit
ab.Allerdings sieht hier das Spannungsfeld komplizierter aus:
Es herrschen
oberhalb der Gleitebene Druck-
unterhalb der Gleitebene Zug-Spannungen
Die Normalspannungen um eine Stufenversetzung sind von
ähnlicher Größe wie die Schubspannungen um eine
Schraubenversetzung
Formel Linienenergie

W: Gesamtenergie
L: Länge des Ringelements
Die obigen Gleichung gilt unter den Annahmen:

A: mittlerer Abstand zweiter Versetzungen
(etwa 3 bis 10 Atomabstände)a: Radius des Versetzungskerns
Wie groß ist der Unterschied der Linienenergie zwischen
Schrauben und Stufenversetzungen?
Schrauben und Stufenversetzungen?
Bei Stufenversetzungen ist die elastisch gespeicherte Energie etwa
30% größer als bei Schraubenversetzungen
30% größer als bei Schraubenversetzungen
Berechnung der Schubspannung am Beispiel Kupfer

Bei Kupfer
ist und mit den Standardwerten von B und N ergibt sich:
Außerdem exisitiert eine Proportionalität zwischen dem
und 
Stapelfehler
Im kfz- und im hex-Gitter bewegen sich abgleitende Gitterbereiche
immer von Talmulde zu nächstgelegener Talmulde, da dies
energetisch am günstigsten ist.
Dies führt dazu, dass sich die Gleitebenen im Zick-Zack-Kurs
bewegen und sich zwischenzeitlich nicht auf ihren regulären
Gitterplätzen befinden.
Der Stapelfehler wird desto breiter, je geringer die
Stapelfehlerenergie eines Werkstoffes ist
immer von Talmulde zu nächstgelegener Talmulde, da dies
energetisch am günstigsten ist.
Dies führt dazu, dass sich die Gleitebenen im Zick-Zack-Kurs
bewegen und sich zwischenzeitlich nicht auf ihren regulären
Gitterplätzen befinden.
- Es entstehen Stapelfehler.
Der Stapelfehler wird desto breiter, je geringer die
Stapelfehlerenergie eines Werkstoffes ist
Wie lautet das "Schmid'sche Schubspannungsgesetz"?

: Winkel zwischen Gleitebene und Zugrichtung
: Winkel zwischen Gleitrichtung und Zugrichtung(Beide Winkel sind die bei Versuchsbeginn gemessenen Winkel)
Definiere Versetzung
Versetzungen sind linienförmige bzw. eindimensionale
Gitterbaufehler.
Gitterbaufehler.
- Atome sind keine Kugel und lassen sich von äußeren Kräften elastisch auseinanderzerren oder zusammendrücken
- Dadurch lassen sich Atomebenen unter sehr viel kleinerer Schubspannung verschieben als im Kugelmodell, da nur ein sehr vielkleinerer Anteil Atome gleichzeitig über den Kritischen Punktgeschoben werden muss
- So entstehen Versetzungen
Spezielle Wöhlerkurven
Spezielle Wöhlerkurven liefern für festgelegte Spannungen
Dauerfestigkeitswerte.
:

Zur Bestimmung der Ausschlagsspannung NUR bei
Schwellfestigkeiten den Dauerfestigkeitswert durch 2 dividieren, weil
Dauerfestigkeitswerte.
:- Wechselfestigkeit

- und
: Druckschwellfestigkeit - und
: Zugschwellfestigkeit - immer die Biegeschwellfestigkeit
- immer die Torsionsschwellfestigkeit
Zur Bestimmung der Ausschlagsspannung NUR bei
Schwellfestigkeiten den Dauerfestigkeitswert durch 2 dividieren, weil

Lebensdauer bis zur zulässigen Zeitdehngrenze bestimmen
Dafür benötigt man die Kriechgeschwindigkeit aus dem sekundären
Bereich und vernachlässigt die plastischen Anteile des primären
Kriechens.
Beispiel:
: zulässige plastische Dehnung
: Kriechgeschwindigkeit

Bereich und vernachlässigt die plastischen Anteile des primären
Kriechens.
Beispiel:
: zulässige plastische Dehnung
: Kriechgeschwindigkeit
Kriechverhalten grob- und feinkristalliner Werkstoffe
- Werkstoffe mit grobem Kristallgefüge kriechen weniger, als feinkristalline Metalle.
- Schwachpunkte sind Grenzflächen zwischen Kristallen, die senkrecht zur Zugspannung liegen.
- Bauteile, die großen Spannungen und hohen Temperaturen ausgesetzt sind, werden mit grobem Gefüge hergestellt
Nenne N für Kurz-, Lang- und Dauerfestigkeiten
Kurzzeitfestigkeit: 
Langzeitfestigkeit:
Dauerfestigkeit:
Bei Stahl ist
.
Bei vielen Nicht-Eisen-Metallen stellt sich keine scharf definierte
Dauerfestigkeit ein.

Langzeitfestigkeit:

Dauerfestigkeit:

Bei Stahl ist
. Bei vielen Nicht-Eisen-Metallen stellt sich keine scharf definierte
Dauerfestigkeit ein.
Angabe/Schreibweise von Dauerfestigkeiten

Bei Abweichung von vorgeschriebenem N (Seite 49) muss N
gesondert angegeben werden. Eingeklammerter Zusatzindex
Sonderfälle sind die Wechsel und Schwellfestigkeiten:

Nenne Einflussgrößen auf die Dauerfestigkeit
- Werkstoff und Wärmebehandlungszustand
-

- Beanspruchungsart (Wechsel/Schwellbelastung
- Probengröße
- Oberflächenzustand
- Kerbwirkung innere(Werkstofffehler) & äußere (Form)
Zusammenhang Zugschwellfestigkeit und
Zug-Druck-Wechselfestigkeit
Zug-Druck-Wechselfestigkeit
Die Auswertung experimentelle Ergebnisse liefert eine gute Näherung für duktile und pulvermetallurgische Stähle sowie Al-, Mg- und Cu-Legierungen, nach der gilt:


Zusammenhang Torsionswechselfstigkeit und
Biegewechselfestigkeit
Biegewechselfestigkeit
Weil die Biegewechselfestigkeit experimentell einfacher zu ermitteln
ist als andere Schwingfestigkeitswerte ist es möglich, aus der
Biegewechselfestigkeit die Torsionswechselfestigkeit abzuschätzen:

80% der Ergebnisse fügen sich in ein Streuband ein, die Näherung gilt
für duktile und pulvermetallurgische Stähle sowie Al-, Mg- und
Cu-Legierungen.
ist als andere Schwingfestigkeitswerte ist es möglich, aus der
Biegewechselfestigkeit die Torsionswechselfestigkeit abzuschätzen:

80% der Ergebnisse fügen sich in ein Streuband ein, die Näherung gilt
für duktile und pulvermetallurgische Stähle sowie Al-, Mg- und
Cu-Legierungen.
Zusammenhang Wechselfestigkeit und Zugfestigkeit
Bis etwa 1500 N/mm^2 beobachtet man bei einer Vielzahl von Stählen
eine Zunahme der Biegewechselfestigkeit bzw.
Zug-Druck-Wechselfestigkeit, für die grob angenähert gilt:

eine Zunahme der Biegewechselfestigkeit bzw.
Zug-Druck-Wechselfestigkeit, für die grob angenähert gilt:

Kerbschlagbiegeversuch: Durchführung und Norm
Im Kerbschlagbiegeversuch wird eine einseitig gekerbte Probe in
Dreipunktbiegung durch einen Schlag mit einem Pendelhammer
zerbrochen.
Dreipunktbiegung durch einen Schlag mit einem Pendelhammer
zerbrochen.
- Der Versuch liefert qualitative Anhaltswerte zur Beurteilung der Sprödbruchneigung eines WerkstoffsDer Versuch ist in DIN EN 10045 europaweit genormt.
Wozu dient der Kerbschlagbiegeversuch?
Der Kerbschlagbiegeversuch liefert die Unterscheidung von
Sprödbruchverhalten zu zähem Bruchverhalten.
Er liefert keinen Kennwert, sondern wird nur für Werkstoffvergleiche
genutzt.
Sprödbruchverhalten zu zähem Bruchverhalten.
Er liefert keinen Kennwert, sondern wird nur für Werkstoffvergleiche
genutzt.
Was wird beim Kerbschlagbiegeversuch kombiniert um die
Prüfung zu verschärfen?
Prüfung zu verschärfen?
Es werden die versprödenden Einflüsse von Kerbwirkung und
Schlagbeanspruchung kombiniert.
Vergleich zwischen Bruchflächen von gebrochenen
Kerbschlagbiegeproben aus der Hochlage und aus der Tieflage
Kerbschlagbiegeproben aus der Hochlage und aus der Tieflage
Proben aus der Hochlage sind erheblich plastisch verformt, die
Bruchflächen sind matt und faserig.
Proben aus us der Tieflage sind nicht plastisch verformt, die
Bruchflächen sind glitzernd körnig (kristallin).
Im Übergangsgebiet sind beide Arten von Bruchflächen vertreten, im
Probeninneren erkennt man die körnigen glitzernden
Sprödbruchanteile, die außen von zähem Bruch umgeben
Bruchflächen sind matt und faserig.
Proben aus us der Tieflage sind nicht plastisch verformt, die
Bruchflächen sind glitzernd körnig (kristallin).
Im Übergangsgebiet sind beide Arten von Bruchflächen vertreten, im
Probeninneren erkennt man die körnigen glitzernden
Sprödbruchanteile, die außen von zähem Bruch umgeben
Was führt zu Versprödung von Stählen?
Diese Faktoren führen zu einer erhöhten Sprödigkeit von Stählen, was
zum Beispiel der Kerbschlagbiegeversuch zeigt:
zum Beispiel der Kerbschlagbiegeversuch zeigt:
- geringere Temperatur (hauptsächlich bei krz und hex)
- hohere Beanspruchungsgeschwindigkeit
- scharfe Kerben
Wie kann man Kaltsprödigkeit von krz Stählen vermeiden?
Ein besonders wirksames Mittel gegen die Kaltsprödigkeit von krz
Stählen ist die Kornfeinung bei der Herstellung und Vearbeitung der
Stahls.
Für Einsatztemperaturen deutlich unter Raumtemperatur haben sich
kaltzähe Feinkornbaustähle heute im Markt durchgesetzt.
Stählen ist die Kornfeinung bei der Herstellung und Vearbeitung der
Stahls.
Für Einsatztemperaturen deutlich unter Raumtemperatur haben sich
kaltzähe Feinkornbaustähle heute im Markt durchgesetzt.
Vor- und Nachteile von Kornfeinung
Vorteil:
Nachteile:
- einziger Mechanismus, um Festigkeit und Zähigkeit gleichzeitig zu erhöhen
Nachteile:
- zunehmende Kriechneigung
- höhere Korrosionsanfälligkeit (=> Energieabbau)
Definiere Härte eines Werkstoffes
Unter der Härte eins Werkstoffs versteht man den Widerstand der
Materialoberfläche gegen lokale plastische Verformung.
Materialoberfläche gegen lokale plastische Verformung.
Nenne vier Arten der Härteprüfung!
- Ritzhärteprüfung
- Feilhärteprüfung
- Eindringhärteprüfung
- Rückprallhärteprüfung
Gruppen der Eindringhärteprüfungen
1. Eindruckoberfläche: KNOOP, VICKERS und BRINELL beziehen
die Last auf die Fläche, die der Eindruck in der Oberfläche hinterlässt.
2. Eindrucktiefe: Bei ROCKWELL wird der Härtewert mit Hilfe der
gemessenen Eindrucktiefe bestimmt.
die Last auf die Fläche, die der Eindruck in der Oberfläche hinterlässt.
2. Eindrucktiefe: Bei ROCKWELL wird der Härtewert mit Hilfe der
gemessenen Eindrucktiefe bestimmt.
Härteprüfung nach Vickers: Durchführung
Prüfkörper: Vierseitige Diamantpyramide mit Winkel 136°
Prüflast: 0,098N - 980,7N (0,01 - 100kp)
Vorgang: Eindruck - 10 bis 15 s wird die Last gehalten
Messung: Diagonale des Quadrat
Bei verschiedenen Diagonalen
Mittelwert beider Diagonalen
Aus der Diagonalen berechnet man die Oberfläche des Eindrucks
und kann dann die Härte berechnen.
Prüflast: 0,098N - 980,7N (0,01 - 100kp)
Vorgang: Eindruck - 10 bis 15 s wird die Last gehalten
Messung: Diagonale des Quadrat
Bei verschiedenen Diagonalen
Mittelwert beider DiagonalenAus der Diagonalen berechnet man die Oberfläche des Eindrucks
und kann dann die Härte berechnen.
Härteprüfung nach Vickers: Norm
Die Härteprüfung nach Vickers ist international nach DIN EN ISO
6507 gut genormt.
6507 gut genormt.
- Häufig auch DPH-Prüfung genannt (diamond pyramid hardness)
- Die Härteprüfung nach Vickers ist fast ohne Einschränkungen und universell einsetzbar
Darstellung der Härte nach Vickers
MZ HV F / t (z.B. 450 HV 10 / 30)
MZ: Härtewert
HV: Bezeichnung der Prüfung nach Vickers
F: Prüfkraft in kp (0,102 N), aber ohne Angaben der Dimension
t: Einwirkdauer, wird nur geschrieben, wenn die Dauer von 10 bis 15 s abweicht (sonst 450 HV 10)
MZ: Härtewert
HV: Bezeichnung der Prüfung nach Vickers
F: Prüfkraft in kp (0,102 N), aber ohne Angaben der Dimension
t: Einwirkdauer, wird nur geschrieben, wenn die Dauer von 10 bis 15 s abweicht (sonst 450 HV 10)
Die drei Prüfbereiche
Makrobereich: HV 5 bis HV 100
Kleinlastbereich: HV 0,2 bis HV 5
Mikrobereich: HV 0,01 < HV 0,2
Kleinlastbereich: HV 0,2 bis HV 5
Mikrobereich: HV 0,01 < HV 0,2
Härteprüfung nach Knoop: Durchführung
Prüfkörper: Diamantpyramide mit rhombischer Grundfläche
(172°30'/130°)
Prüflast: 1,96N - 980,7N (0,2 - 100kp)
Messung: Länge der großen Eindrucksdiagonalen
Aus der Diagonalen berechnet man die Oberfläche des Eindrucks
und kann dann die Härte berechnen
(172°30'/130°)
Prüflast: 1,96N - 980,7N (0,2 - 100kp)
Messung: Länge der großen Eindrucksdiagonalen
Aus der Diagonalen berechnet man die Oberfläche des Eindrucks
und kann dann die Härte berechnen
Härteprüfung nach Knoop: Norm
Die Härteprüfung nach Knoop ist nach DIN EN ISO 4545 genormt.
- Die Ablesegenauigkeit ist auf Grund der langen Diagonalen sehr gut
- Es können sehr dünne Materialien geprüft werden
- Man verwenet die selbe Maschine wie bei der Vickers-Härteprüfung, man wechselt nur den Diamanten
- HK und HV stimmen auf etwa 10% überein
Temperaturabhängigkeit der Kerbschlagarbeit
krz oder hex Metalle brechen unterhalb einer gewissen Temperatur
plötzlich sehr leicht spröde.
kfz Metalle tun dies nicht.
plötzlich sehr leicht spröde.
kfz Metalle tun dies nicht.
Bezeichnung der Zeitdehngrenzen

z.B.

0,5: 0,5% plastische Dehnung
10.000: Prüfzeit in h
600: Prüftemperatur in °C
Bezeichnung für Zeitstandfestigkeit

z.B.

: Anfangssapnnung
, die zum Bruch führt0,5: 0,5% plastische Dehnung
100.000: Bruchzeit in h
700: Prüftemperatur in °C
Welchen Bereich des Kriechens lässt man für technische
Anwendung zu?
Anwendung zu?
Den Bereich des sekundären Kriechens, aber vermeidet den des
beschleunigten tertiären Kriechens, um keine Bruchgefahr
einzugehen
beschleunigten tertiären Kriechens, um keine Bruchgefahr
einzugehen
Formel Larson-Miller-Parameter

P: Larson-Miller Parameter
T: Temp. in K
c: Konstante (für Eisen-, Nickel- und Kobaltbasiswerkstoffe
)
: Zeit bis zum Bruch in StundenLarson-Miller-Diagramm
Aus experimentellen Werten, kann man
und P in einem
Diagramm auftragen. Die Spannung
wird dabei
halblogarithmisch über eine lineare P-Achse aufgeteilt.
Es ergibt sich jeweils für einen Werkstoff ein enges Streuband.
Damit lassen sich Inter- und Extrapolationen durchführen und die
Larson-Miller-Gleichung lösen.
und P in einemDiagramm auftragen. Die Spannung
wird dabeihalblogarithmisch über eine lineare P-Achse aufgeteilt.
Es ergibt sich jeweils für einen Werkstoff ein enges Streuband.Damit lassen sich Inter- und Extrapolationen durchführen und die
Larson-Miller-Gleichung lösen.
Wöhlerversuch: Durchführung und Norm
- Mittelspannung im Verlauf des Versuchs konstant halten
- Belastung zunächst mit großer Spannungsamplitude bis zum Bruch
- Dann kontinuierliches verkleinern der Spannungsamplitude und messen der Anzahl N an Wiederholungen bis zum Bruch
- Dies so lange wiederholen bis die Probe ab einer gewissen Spannungsamplitude nicht mehr bricht
- Zur Auswertung Spannungsamplitude über
auftragen

N: Schwingspielzahl (Anzahl der Schwingungen bis zum Bruch)
: Grenzschwingspielzahl (Probe bricht nicht mehr)In Europa nach DIN 50100 genormt
- Dient zur Ermittlung der Ermüdungsfestigkeit
Definiere Ermüdung
Das Versagen eines Werkstoffs bei dynamischer Belastung.
Das Versagen tritt weit unterhalb der Streckgrenze ein.
Das Versagen tritt weit unterhalb der Streckgrenze ein.
Definiere Ermüdungsfestigkeit
Als Ermüdungsfestigkeit bezeichnet man die ertragbare
Spannung unter schwingender Belastung
Spannung unter schwingender Belastung
Spannungsbezeichnungen
bzw.
: Oberspannung: größte Spannung je Schwingspiel
bzw.
: Unterspannung: kleinste Spannung je Schwingspiel
bzw.
: Ausschlagsspannung
: Mittelspannung
- Die Norm verwendet kleine Indizes für Spannungen, die zum Bruch führen und große Indizes für Spannungen, die nicht zum Bruchführen.
Wie verhalten sich die Atome des Kristallgitters im unbelasteten/belasteten Zustand?
Im unbelasteten Zustand schwingen die Atome des Kristallgitters
um eine Gleichgewichtslage, die sich aus dem Gleichgewicht der
abstoßenden und anziehenden Kräfte zwischen den benachbarten
Atomen ergibt.
Im belasteten Zustand (Verformung) rücken viele Atome aus der
Gleichgewichtslage. Dieser erzwungenen Verzerrung des
Kristallgitters setzten die Atome Widerstände entgegen, die den
äußeren Belastungen das Gleichgewicht halten.
um eine Gleichgewichtslage, die sich aus dem Gleichgewicht der
abstoßenden und anziehenden Kräfte zwischen den benachbarten
Atomen ergibt.
Im belasteten Zustand (Verformung) rücken viele Atome aus der
Gleichgewichtslage. Dieser erzwungenen Verzerrung des
Kristallgitters setzten die Atome Widerstände entgegen, die den
äußeren Belastungen das Gleichgewicht halten.
Definiere E- und G-Modul
E-Modul: Steigung der Tangente im Nullpunkt des
Spannungs-Dehnungs-Diagramm.
Der E-Modul hängt vom Abstand der Atome im Kristallgitter ab, daherist er nicht konstant, sondern von der kristallographischen Richtung abhängig. Auf der Raumdiagonalem im krz-Gitter ist der E-Modul beispielsweise am größten, da hier die geringsten Abstände vorliegen.
G-Modul: Steigung der Ursprungstangenten im
Schubspannungs-Scherungs-Diagramm.
Spannungs-Dehnungs-Diagramm.
Der E-Modul hängt vom Abstand der Atome im Kristallgitter ab, daherist er nicht konstant, sondern von der kristallographischen Richtung abhängig. Auf der Raumdiagonalem im krz-Gitter ist der E-Modul beispielsweise am größten, da hier die geringsten Abstände vorliegen.
G-Modul: Steigung der Ursprungstangenten im
Schubspannungs-Scherungs-Diagramm.
Wie viele Einzelkristalle enthalten typischerweise technische
Realmetalle?
Realmetalle?
Technische Realmetalle enthalten etwa
Einzelkristalle pro
.
Einzelkristalle pro
.Warum stimmen die aus Einzelkristalldaten errechneten
E-Moduln oft nicht mit gemessenen Vielkristall-E-Moduln
überein?
E-Moduln oft nicht mit gemessenen Vielkristall-E-Moduln
überein?
Weil herstellungsbedingt die Kristalle in Vorzugsrichtungen
ausgerichtet sein können. Man nennt die Werkstoffe dann texturiert.
ausgerichtet sein können. Man nennt die Werkstoffe dann texturiert.
Definiere Texturiert
Man nennt einen Werkstoff texturiert, wenn seine Kristalle
herstellungsbedingt in Vorzugsrichtung ausgerichtet sind.
herstellungsbedingt in Vorzugsrichtung ausgerichtet sind.
- In diesem Fall weicht der gemessene E-Modul häufig von dem am Einkristall berechneten E-Modul ab.
- Abweichungen von
sind normal
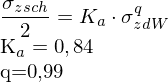
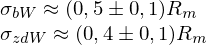
Definiere Querkontraktionszahl
Die Querkontraktionszahl beschreibt das Verhältnis aus Quer- und
Längsdehnung:
Längsdehnung:

- Sie liegt typischerweise bei etwa 0,3
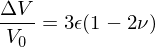
Formel für Volumenänderung bei einseitigem/hdyrostatischem
Druck
Druck
Einseitiger Druck:

Hydrostatischer Druck:


Hydrostatischer Druck:

Zeitabhängige Unterscheidung von Prüfverfahren
1. ruhende Belastung
2. langsam, konstant steigende Belastung (Quasistatisch)
Anfangsphase im Zugversuch
3. sehr schnell ansteigende Belastung
Stoß oder
Schlagbeanspruchung
4. Periodisch wechselnde Belastung
Untersuchung von
Ermüdungserscheinungen
2. langsam, konstant steigende Belastung (Quasistatisch)

Anfangsphase im Zugversuch
3. sehr schnell ansteigende Belastung
Stoß oderSchlagbeanspruchung
4. Periodisch wechselnde Belastung
Untersuchung vonErmüdungserscheinungen
Zugversuch: Durchführung und Norm
Beim Zugversuch werden schlanke Materialproben unter
langsam ansteigender Beanspruchung bis zum Bruch belastet.
Der Zugversuch ist nach DIN EN 10002 und ISO 6892 genormt
langsam ansteigender Beanspruchung bis zum Bruch belastet.
- Probenquerschnitt kreisförmig (alterntiv quadratisch, rechteckig oder ringförmig)
- Anfangsmesslänge muss größer als 20 mm sein
Der Zugversuch ist nach DIN EN 10002 und ISO 6892 genormt
- Der Zugversuch ist die wichtigste Methode zur Beurteilung mechanischer Eigenschaften
Wie wird aus einem Kraft-Verlängerungs-Diagramm ein
Spannungs-Dehnungs-Diagramm?
Spannungs-Dehnungs-Diagramm?
Umrechnung der Last in die Spannung (Nennspannung)

Umrechnung der Verlängerung in die Dehnung (Nenndehnung)


Umrechnung der Verlängerung in die Dehnung (Nenndehnung)

Definiere proportionale Probe
Eine proportionale Probe hat ein festes Verhältnis von
Anfangsmesslänge zu Anfangsquerschnitt:
Anfangsmesslänge zu Anfangsquerschnitt:

- Üblicherweise ist

- Bei zu kleinem Querschnitt darf
oder eine nicht proportionale Probe gewählt werden.
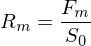
Definiere Streckgrenze (obere, untere)
Wenn der metallische Werkstoff eine Streckgrenze aufweist,
erfolgt zu einem bestimmten Zeitpunkt im Versuchsablauf eine
plastische Verformung ohne Zunahme der Kraft.
obere Streckgrenze
Spannung, bei der der erste deutliche Kraftabfall auftritt
untere Streckgrenze
die kleinste Spannung im Fließbereich
(ohne Berücksichtigung von Einschwingerscheinungen)
I.A. Grundlage zur Berechnung der zulässigen Spannung und
Sicherheit eines statischen Bauteils
erfolgt zu einem bestimmten Zeitpunkt im Versuchsablauf eine
plastische Verformung ohne Zunahme der Kraft.
obere Streckgrenze

Spannung, bei der der erste deutliche Kraftabfall auftrittuntere Streckgrenze

die kleinste Spannung im Fließbereich(ohne Berücksichtigung von Einschwingerscheinungen)
I.A. Grundlage zur Berechnung der zulässigen Spannung undSicherheit eines statischen Bauteils
Definiere Lüders-Dehnung
Sie bezeichnet (im
) den Bereich des Fließens beinäherungsweise konstanter Spannung.
Innerhalb dieses Bereichs nimmt die Spannung keinen
definierten Wert an, sondern schwankt um einen bestimmten
Wert.
) den Bereich des Fließens beinäherungsweise konstanter Spannung.
Innerhalb dieses Bereichs nimmt die Spannung keinendefinierten Wert an, sondern schwankt um einen bestimmten
Wert.
Definiere Dehngrenze
Die Dehngrenze ist die Spannung bei
nichtproportionaler
Dehnung bzw. die Spannung
bei gesamter Dehnung.
Kurzzeichen
mit dem Prozentbetrag der vorgegebenen
plastischen Dehnung, z.B.
bei 0,2% plastischer Dehnung
nichtproportionalerDehnung bzw. die Spannung
bei gesamter Dehnung.
Kurzzeichen
mit dem Prozentbetrag der vorgegebenenplastischen Dehnung, z.B.
bei 0,2% plastischer DehnungDefiniere Zugfestigkeit
Die Zugfestigkeit ist der Wert der maximalen Spannung bzw. der
Punkt der größten Zugkraft:

Punkt der größten Zugkraft:

Wie wird die Bruchdehnung berechnet und woraus setzt sie sich zusammen?

Dabei ist

Benutzt man ein anderes Verhältnis als in der Norm, so wird dies durch einen Index gekennzeichnet:
z.B.
für das Verhältnis 11,3.Die Bruchdehnung setzt sich aus der Gleichmaßdehnung und der Einschnürdehnung zusammen.
Dabei ist die Gleichmaßdehnung im Gegensatz zur
Einschnürdehnung unabhängig von
.Definiere Bruchdehnung
Die Bruchdehnung A ist die bleibende Dehnung nach dem Bruch,
angegeben in Prozent.
Sie setzt sich zusammen aus der Gleichmaßdehnung und der
Einschnürdehnung

angegeben in Prozent.
Sie setzt sich zusammen aus der Gleichmaßdehnung und derEinschnürdehnung

Typische E-Module
Stahl E=210.000 N/mm²
Gusseisen E=105.000 N/mm²
Aluminium E= 70.000 N/mm²
Gusseisen E=105.000 N/mm²
Aluminium E= 70.000 N/mm²
Welche Metalle gehören zu denen mit krz bzw kfz Kristallgittter?
krz-Metalle :
die meisten Stähle sind krz
kfz-Metalle :
Aluminium- und Kupferwerkstoffe
die meisten Stähle sind krz
kfz-Metalle :
Aluminium- und Kupferwerkstoffe
Welche Größen haben Einfluss auf die Ergebnisse des
Zugversuches?
Zugversuches?
1. die Gruppe des Metalls (kfz oder krz)
2. Temperatur (mit steigender Temperatur wird die ausgeprägte
Streckgrenze mehr und mehr unterdrückt)
3. die Dehngeschwindigkeit (bei unlegiertem Stahl und bei vielen
anderen Metallen findet man bei Steigerung der Dehngeschwindigkeit
eine Zunahme von Zugfestigkeit und Streckgrenze bzw. Dehngrenze)
2. Temperatur (mit steigender Temperatur wird die ausgeprägte
Streckgrenze mehr und mehr unterdrückt)
3. die Dehngeschwindigkeit (bei unlegiertem Stahl und bei vielen
anderen Metallen findet man bei Steigerung der Dehngeschwindigkeit
eine Zunahme von Zugfestigkeit und Streckgrenze bzw. Dehngrenze)
Zeitstandversuch: Durchführung und Norm
Probe wird in einem Ofen eingebaut und mit konstanter Last auf
Zug beanschlagt.
Vermeidung von Spannungsspitzen
Längenänderung wird durch mechanische Spiegelgeräte oder induktive Weggeber gemessen.
Nach DIN EN 10291 genormt
Die Norm zielt dabei auf die Messung von Nenndehnungen bei konstanter Nennspannung.
Nomenklatur:

Zug beanschlagt.
Vermeidung von Spannungsspitzen
Längenänderung wird durch mechanische Spiegelgeräte oder induktive Weggeber gemessen.Nach DIN EN 10291 genormt
Die Norm zielt dabei auf die Messung von Nenndehnungen bei konstanter Nennspannung.Nomenklatur:

Auswirkungen der Temperatur auf den Zeitstandversuch
Bei kostanter Spannung gilt für
Temperaturen bis
:
Verformung nicht abhängig von der Belastungsdauer (nur elastische
Dehnung bis Streck- und Dehngrenze)
Temperaturen bis
:
Dehnung gering zeitabhängig, kommt oft wieder zum Stillstand
Temperatur größer
:
Werkstoff gibt bis zum Bruch langsam plastisch nach (Kriechen)
Schmelztemperatur in Kelvin
Temperaturen bis
:Verformung nicht abhängig von der Belastungsdauer (nur elastische
Dehnung bis Streck- und Dehngrenze)
Temperaturen bis
:Dehnung gering zeitabhängig, kommt oft wieder zum Stillstand
Temperatur größer
:Werkstoff gibt bis zum Bruch langsam plastisch nach (Kriechen)
Schmelztemperatur in KelvinDefiniere Kriechen
Ein Werkstoff gibt unter konstanter Last und Temperatur
allmählich plastisch nach. Diese Art der Verformung nennt man
Kriechen.
Meist im Temperaturbereich von dem 0,4-fachen der
Schmelztemperatur und mehr.
allmählich plastisch nach. Diese Art der Verformung nennt man
Kriechen.
Meist im Temperaturbereich von dem 0,4-fachen derSchmelztemperatur und mehr.
Welche Bereiche zeigen Kriech- und Zeitdehnungskurven unter Zugbelastung?
Bereich I: primäres Kriechen mit sinkender Kriechgeschwindigkeit (kann auf Null absinken)
Bereich II: sekundäres Kriechen mit konstanter Geschwindigkeit
Bereich III:tertiäres Kriechen mit steigender Geschwindigkeit
(führt zum Bruch)
Bereich II: sekundäres Kriechen mit konstanter Geschwindigkeit
Bereich III:tertiäres Kriechen mit steigender Geschwindigkeit
(führt zum Bruch)
Wie wirkt sich die Spannungssteigerung auf den
Zeitstandversuch aus?
Zeitstandversuch aus?
- ähnlich wie bei Temperaturänderung
- Verringerung der Belastung führt zur Absenkung der Kriechgeschwindigkeit
- Soweit, dass innerhalb der technischen Zeit kein Bruch mehr stattfindet
Kartensatzinfo:
Autor: morsch
Oberthema: Maschinenbau
Thema: Werkstoffkunde 1
Schule / Uni: RWTH Aachen
Veröffentlicht: 20.01.2012
Schlagwörter Karten:
Alle Karten (117)
keine Schlagwörter









