Wo entsteht eine elektr. Feld?
- Umgebung eines elektr. geladenen Körpers
- in dem Körper wirkt auf eine andere Ladung eine Kraft
Kräfte im elektr. Feld
- Kraft ist anziehend, wenn die Ladung ungleichnamig ist
- Kraft ist abstoßend, wenn die Ladung gleichnamig zur felderzeugenden Ladung ist
Influenz - Was versteht man unter diesem Vorgang?
- räumliche Ladungstrennung in einem leitenden Körper
- entsteht durch den Einfluss eines elektrischen Feldes auf frei beweglichen Ladungen
- elektrisches Feld erzeugt eine Kraft auf die beweglichen Ladungen
Elektrische Polarisation - Vorgang
- Isolatoren -> Ladung sind nicht frei verschiebbar
- Einfluss eines äußeren elektr. Feldes sorgt für ein Ausrichten der Ladung zur Oberfläche des Körpers hin
- es entstehen elektr. Dipole
Vakuum - elekr. Feld?
- auch im "materiefreien" Raum kann es eine elektr. Feld geben
- Versuch: negativ geladene Kugel hängt an einem isolierten Faden in einer Vakuum-Glasglocke -> Beobachtung: wird trotz des Vakuums von einer positiven Ladung außerhalb der der Glocke angezogen
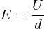
Messung von der elektr. Ladung - Formel
Bei einem konstanten elektrischen Storm der Stärke
fließt während der Zeit
die elektr. Ladung:

fließt während der Zeit
die elektr. Ladung:
Probeladung - Definition
Eine Probeladung ist ein elektrisch geladener Körper, dessen elektrisches Feld so schwach ist, dass es nicht in der Lage ist, elektrische Ladung in der Umgebung der Probeladung zu verschieben.
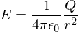
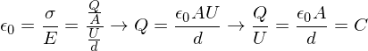
Elektrische Feldstärke Definition
Die elektr. Feldstärke
ist der Quotient der elektrostatischen Kraft
, die eine positive Probeladung
im betrachteten Punkt des Feldes erfährt, und der Ladung
:

ist der Quotient der elektrostatischen Kraft
, die eine positive Probeladung
im betrachteten Punkt des Feldes erfährt, und der Ladung
:

Versuch zur Messung der elektrischen Feldstärke
- kleine, geladene Metallkugel wird isoliert an einen Kraftmesser angebracht
- große, geladene Metallkugel wird in die Nähe der kleine Kugel gebracht
- Kraftmesser zeigt Kraft an
-

Versuch zur radialsymmetrischen Feldern
- zwei gleiche, kleine Metallkugen (
=2cm) werden mit der gleichen positiven Ladung q / Q (
) aufgeladen - eine Kugel ist isoliert an einem Kraftmesser angebracht
- die andere Kugel kann in unterschiedlichen Abständen (gemessen zur Kugelmitte)
zur anderen Kugel gebracht werden - aufgrund der Influenz beträgt, führt man die Messung mit einem Mindestensabstand von 10cm durch und vergrößert dann schrittweise den Radius

Versuch 2:
- selber Versuchsaufbau wie bei Versuch 1
- Messung erfolgt nun in Abhängigkeit von






Radialsymmetrisch
Sobald die Feldstärke
für alle im Punkt im Abstand
vom Mittelpunkt der Kugel, die die Ladung
besitzt, den gleichen Wert hat, bezeichnet man dieses Feld als radialsymmetrisch.
für alle im Punkt im Abstand
vom Mittelpunkt der Kugel, die die Ladung
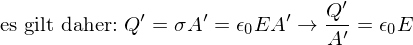
besitzt, den gleichen Wert hat, bezeichnet man dieses Feld als radialsymmetrisch. Versuch: Bestimmung der Flächenladungsdichte auf einer Kugelschale
- eine Kugel mit dem Radius R, der Ladung Q
- zwei neutrale, isolierte Halbkugeln mit dem Radius R umschließen die Kugel
- an die Halbkugeln wird ein Ladungsmessgerät angeschlossen
- Beobachtung: die Ladung
wird an der Außenseite der Kugeln abgenommen,
entspricht der Ladung 
- Erklärung: die Influenz sorgt für, dass nach einer gewissen Zeit, dass elektrische Feld zwischen Innen- und Außenfläche verschwunden ist
- Schlussfolgerung: Eine Ladung
auf einer Kugel mit dem Radius
ist von demselben radialsymmetrischen Feld umgeben, wie eine Ladung in der Kugelmitte
Messung von elektrischen Feldern
- zwei Metallplättchen werden in die Nähe eines radialsymmetrischen Feldes gebracht
- Blättchen sind senkrecht zum Feld
Beobachtung:
Die beiden Plättchen haben die entgegensetzten Ladung


Vorteil: Messung ist wesentlich einfacher als die Kraft auf eine Probeladung zu messen
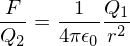
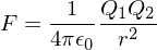
Coulmb'sche Gesetz - Kurze Herleitung

Auf eine zweite Punktladung
wird im Abstand
von
die Kraft
ausgeübt.

haben
und
dasselbe Vorzeichen, so ist die Kraft natürlich abstoßend. haben
und
nicht dasselbe Vorzeichen, so ist die Kraft natürlich anziehend. Coloumb'sche Gesetz - bei mehreren Kugeln
- Bestimmung der einzelnen Kräfte der radialsym. Feldern
- Vektoraddition zur Gesamtkraft
Darstellung elektr. Felder
Festlegungen
- Je größer die Anzahl der Feldlinien in einem bestimmten Gebiet de Feldes ist, desto stärker ist die dort wirkende Kraft auf einen geladenen Körper
- Die Richtung der Feldlinien gibt die Richtung der wirkenden Kraft auf einen geladenen Körper an. Dabei ist die Art der Ladung zu beachten.
- Feldlinien gehen von + nach - Sie können auch ins Unendliche gehen.
- Feldlinien können sich nicht schneiden
- Feldlinien stehen senkrecht zu Leiteroberflächen
Feldlinienbild eines Kondensators
das elektr. Feld ist überwiegend homogen, nur der Randbereich weicht ab


Feldlinienbild eines radialsym. Feldes
Feldstärke/ Feldliniendichte nimmt nach außen hin ab


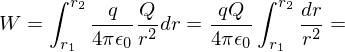
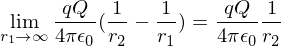
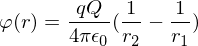
Potential Definition
Unter dem elektr. Potential
eines Punktes in einem elektr. Feld versteht man den Quotienten aus der potenziellen Energie des Körpers im Feld und der Ladung dieses Körpers

eines Punktes in einem elektr. Feld versteht man den Quotienten aus der potenziellen Energie des Körpers im Feld und der Ladung dieses Körpers
Spannung
Die Potentialdifferenz
heißt elektr. Spannung eines Punktes mit dem Potential
gegenüber einem Punkt mit dem Potential
.
heißt elektr. Spannung eines Punktes mit dem Potential
gegenüber einem Punkt mit dem Potential
. Äquipotentialfläche
Unter Äquipotentialfläche versteht man alle Punkte
besitzen, sie liegen alle auf einer Ebene parallel zu den Platten des Plattenkondensators.
besitzen, sie liegen alle auf einer Ebene parallel zu den Platten des Plattenkondensators. Spannung im Plattenkondensator - Herleitung (Potential)

d ist der Abstand der beiden Platten im Kondensator
Wie kann der Plattenkondensator als Energiespeicher dienen?
Sobald sich ein geladener Körper (Elektron) unter dem Einfluss der elektrischen Kraft in einem elektr. Feld bewegt, nimmt dieser aus dem Feld Energie auf. Ist die Spannung nicht mehr am Kondensator angelegt, kann die Energie gespeichert werden. Sobald man den Kondensator berührt, kommt es zur Entladung.
Millikan-Versuch
Versuchsablauf:
Ergebnis:

- Öltröpfchen wird in den Zwischenraum der Kondensatorplatten gesprüht
- elektr. Spannung
wird angelegt, je nach Ladung der Teilchen sinken/steigen die Teilchen schnell - Beobachtung von vielen Öltröpfchen
Ergebnis:
- wird
so eingestellt, dass das Öltröpfchen schwebt, dann gilt 
- Es gibt bestimmte Ladungen für die Öltropfen, sie sind alle Vielfaches der Elementarladung
-> die Ladung ist eine gequantelte Größe

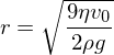
Millikan - Versuch: Komplexe Herleitung
Die Öltröpfchen sind der Luftreibung ausgesetzt, es gilt das Gesetz von Stoke. Problematik: Volumen und Masse ist kaum bestimmbar
ist die Zähigkeit des Stoffes -> in diesem Fall ist es die Luft 
beim gleichförmigen Sinken (
)
beim gleichförmigen Steigen (
)
Einsetzen von (1) in (2) ergibt

Fällt ein Teilchen nur unter der Wirkung der Gewichtskraft, so gilt
dazu gilt 
Einsetzen der Gleichung

Für
einsetzen in (3)

Mithilfe dieser Gleichung kann man die Ladung bestimmen.
ist die Zähigkeit des Stoffes -> in diesem Fall ist es die Luft 
beim gleichförmigen Sinken (
)
beim gleichförmigen Steigen (
)Einsetzen von (1) in (2) ergibt

Fällt ein Teilchen nur unter der Wirkung der Gewichtskraft, so gilt
dazu gilt 
Einsetzen der Gleichung

Für
einsetzen in (3)
Mithilfe dieser Gleichung kann man die Ladung bestimmen.
PTC / HTC Widerstände
PTC: positive temperature coefficient -> die Leitfähigkeit nimmt zu, sobald sich die Temperatur des Leitermaterials erhöht (Graphit) -> Widerstand nimmt ab
HTC: negative temperature coefficient -> die Leitfähigkeit nimmt ab, sobald sich die Temperatur des Leitermaterials erhöht (Metalle) -> Widerstand nimmt zu
HTC: negative temperature coefficient -> die Leitfähigkeit nimmt ab, sobald sich die Temperatur des Leitermaterials erhöht (Metalle) -> Widerstand nimmt zu
Austritt von Elektronen aus Leiteroberflächen
- Glühelektrischer Effekt (z.B. glühender Metalldraht)
- Lichtelektrischer Effekt / Fotoeffekt
- Feldemission / Feldemissionsmikroskop s.Bild

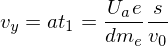
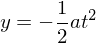
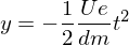
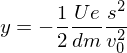
Ablenkung am Ende des Kondensators

Nach dem das Elektron den Kondensator verlässt, ist es keinem elektr. Feld mehr ausgesetzt und wird daher nicht weiter abgelenkt. Es fliegt in einer Gerade weiter aus.

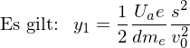
Geschwindigkeit am Ende des Kondensators


Addition von
und
Ausklammern

1. Kirchhoff'sche Gesetz (Knotenregel)
An einem Knoten ist die Summe aller Stromstärken null:
2. Kirchhoff'sches Gesetz (Maschenregel)
Die Summe der Spannung in einer Masche ist null:


Dielektrikum beim Plattenkondensator
Ein Dielektrikum vergrößert die Kapazität eines Kondensators.
heißt Dielektrizitätszahl
Für die Kapzität eines Plattenkondenators gilt dann:

heißt Dielektrizitätszahl Für die Kapzität eines Plattenkondenators gilt dann:

Durchschlagsspannung
Durch das Dielektrikum bei einem Kondensator wird die maximal mögliche Spannung eines Kondensators begrenzt, wird diese Spannung überschritten, bildet sich ein elektrisch leitender Kanal zwischen den Kondensatorplatten und der Kondensator wird unbrauchbar.
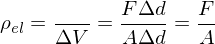
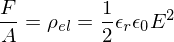
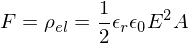
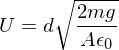
Kondensator als Spannungswaage - Formeln
Überlegung: Die Platten des Kondensators ziehen sich mit der Kraft
an. Zieht man die Platten um
auseinander, so beträgt die Energie dafür
.





an. Zieht man die Platten um
auseinander, so beträgt die Energie dafür
.




Kondensator als Spannungswaage
Messung von sehr hohen Spannungen

für die Spannung gilt dann:



für die Spannung gilt dann:


Leidener Flasche
Leidener Flasche:
- Zylinder von innen und außen mit Aluminiumfolie beklebt
- Innenseite ist mit einer Metallkugel verbunden
- beim Aufladen der Kugel wird die selbe Ladungsmenge auf die Außenseite des Zylinders influenziert
- bis zu 1nF
Drehkondensator
- beweglicher Plattensatz wird in einen fest stehenden hineingedreht
- Drehwinkel
Kapazität - Einsatz: Abstimmung von elektrischen Verstärkerschlatung
- 100pF - 1000pF
Blockkondensator
- zwei dünne Aluminiumstreifen und zwei Streifen dünner Kunststofffolie werden im Wechsel aufeinandergeschichtet und und aufgewickelt
- Vorteil: geringer Raum -> großer Plattenabstand
- Sonderform: metallisierte Filmkondensator -> beim Durchschlag bleibt die Isolierung erhalten
Keramikkondensatoren
- als Dielektrikum dient eine keramische Masse -> diese wird mit Silber oder Nickel beschichte
-
bis zu 16000
Elektrolytkondensatoren
- Aluminiumfolie (Pluspol)
- elektrolytisch aufgebracht Oxidschicht als Dielektrikum
- Elektrolyten (Minuspol)
- hohe Kapazitäten im Vergleich zu anderen Kondensatoren mit gleichen Volumina
- Explosion bei Falschpolung
Superkondensatoren (Gold Caps)
- sehr große Kapazitäten bei kleinem Raum
- 100 bis 1500F
- Aktivkohle als Trägermaterial für Elektrolyten
- 1g Aktivkohle bis eine innere Oberfläche von etwa 1000m²
Kondensatoren als Speicherbausteine
- z.B. DRAM Speicherzelle
- Information wird in Form von elektrischer Ladung im Kondensator gespeichert
- um die natürliche Entladung des Kondensators und damit einen Informationsverlust zu verhindern, wird der Kondensator immer nach geladen (1ms bis 16ms)
Auf- und Entladen eines Kondensators
2. Kirchhoff'sches Gesetz



Beim Entladevorgang
, dazu fällt
beim Ableiten weg, da es eine Konstante ist

Ableiten

Ansatz:








Beim Entladevorgang
, dazu fällt
beim Ableiten weg, da es eine Konstante ist 
Ableiten

Ansatz:






Entstehung von Wirbelströmen
Bei Bewegung eines leitenden Materials in einem inhomogenen Magnetfeld beschleunigt die Lorentzkraft die Ladungsträger zu einem Strom senkrecht zur Richtung von Feld und Geschwindigkeit.
Zum Ladungsausgleich fließt der Strom im Magnetfeld freien Raum wieder zurück
Ein Magnet-feldfreier Raum im Leiter ist daher Voraussetzung für Wirbelströme („inhomogenes Magnetfeld“)
„Wirbelströme“ bezeichnet die Gesamtheit dieser Ströme
Wirbelströme fließen als „Kurzschluss-Ströme“ praktisch ohne Widerstand auf geschlossenen Pfaden
Zum Ladungsausgleich fließt der Strom im Magnetfeld freien Raum wieder zurück
Ein Magnet-feldfreier Raum im Leiter ist daher Voraussetzung für Wirbelströme („inhomogenes Magnetfeld“)
„Wirbelströme“ bezeichnet die Gesamtheit dieser Ströme
Wirbelströme fließen als „Kurzschluss-Ströme“ praktisch ohne Widerstand auf geschlossenen Pfaden
Kräfte bei Wirbelströmen
Die Magnetfelder um die im Leiter induzierten Ströme sind dem bewegten Magnetfeld entgegengesetzt (Lenzsche Regel):
Abstoßend gegenüber dem nahenden Feld
Anziehend gegenüber dem davoneilenden Feld
Es resultiert eine Kraft
Die Beschleunigung durch diese Kraft gleicht die die Geschwindigkeiten von Leiter und Magnetfeld an
Abstoßend gegenüber dem nahenden Feld
Anziehend gegenüber dem davoneilenden Feld
Es resultiert eine Kraft
Die Beschleunigung durch diese Kraft gleicht die die Geschwindigkeiten von Leiter und Magnetfeld an
Kartensatzinfo:
Autor: JamesBond007
Oberthema: Physik
Thema: Elektrisches Feld
Veröffentlicht: 07.11.2013
Schlagwörter Karten:
Alle Karten (63)
keine Schlagwörter






























