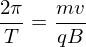
Feldlinien im Magnetismus
- von Nord nach Süd
- stellen das magnetische Feld dar
- Magnetnadel richten parallel zu den Feldlinien aus
- Dichte der Feldlinien gibt die Stärke des mag. Feldes an
- Mag. Feldlinien sind geschlossenen Kurven ohne Anfang und Ende (Begründung: Magnet in kleinere Magnet zerbrechen -> viele kleine Magnetfelder)
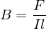
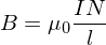
Magnetische Feldstärke
ruft ein Magnetfeld auf einen Leiter der Länge
, der senkrecht zu den Feldlinien liegt und vom Strom
durchflossen ist, die Kraft
hervor, so hat das Feld die mag. Feldstärke


B wird auch als magnetische Induktion oder mag. Flussdichte oder mag. Feld bezeichnet
, der senkrecht zu den Feldlinien liegt und vom Strom
durchflossen ist, die Kraft
hervor, so hat das Feld die mag. Feldstärke

B wird auch als magnetische Induktion oder mag. Flussdichte oder mag. Feld bezeichnet
Versuch zur mag. Feldstärke
- zwei Hufeisenmagnet erhalten Polschuhe
- rechteckiger Drahtbügel wird in das Feld gebracht -> Drahtbügel ist mit einem Kraftmesser verbunden
- durch den Bügel fließt der Strom
und hat er die Länge 
- Feststellung:

Möglicher anderer Versuchsaufbau:

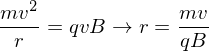
Lorentz-Kraft
Auf Ladungsträger, die sich im Magnetfeld bewegen, wirkt die Lorentz-Kraft. Sie steht senkrecht auf der von der Bewegungsrichtung und der Feldrichtung aufgespannten Ebene und ist am größten, wenn Bewegung und Feld senkrecht zueinander gerichtet sind. Die Drei-Finger-Regel gibt die Richtung der Lorentz-Kraft an.
Versuch zur Lorentzkraft
- braun'sche Röhre* Hufheisenmagnet<div style="padding-left:5px;">Ergebnis: Elektronenstrahl wird durch den Magneten abgelenkt, der Leuchtpunkt auf dem Bildschirm wandert</div>
Hier wurde die Linke Hand verwendet!

Drei Finger Regel (rechte Hand)
Daumen: gibt Richtung des Stroms an: + nach - (technische Stromrichtung) - nach + (physikalische Stromrichtung) -> bei positiven Teilchen (Protonen/
) zeigt der Daumen in Bewegungsrichtung / bei negativen Teilchen (Elektronen) zeigt der Daumen entgegen der Bewegungsrichtung
Zeigefinger: gibt die Feldrichtung an von N nach S
Mittelfinger: gibt die Lorentzkraft an
) zeigt der Daumen in Bewegungsrichtung / bei negativen Teilchen (Elektronen) zeigt der Daumen entgegen der BewegungsrichtungZeigefinger: gibt die Feldrichtung an von N nach S
Mittelfinger: gibt die Lorentzkraft an
Lorentzkraft auf ein einzelnes Teilchen - Herleitung
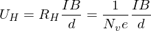
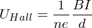
für den Fall, dass das mag. Feld nicht senkrecht zur Bewegungsrichtung steht Hall-Effekt
Eine quaderförmiges, dünnes Plättchen der Dicke
ist in Längsrichtung von einem Strom
durchflossen. Durchsetzt ein Magnetfeld
senkrecht das Plättchen, so wird senkrecht zur Strom- und senkrecht zur Feldrichtung die Hall-Spannung
gemessen. Aus dem Vorzeichen der Hall Spannung kann das Vorzeichen der bewegten elektrischen Ladung bestimmt werden.

ist die Ladungsträgerdichte

ist in Längsrichtung von einem Strom
durchflossen. Durchsetzt ein Magnetfeld
senkrecht das Plättchen, so wird senkrecht zur Strom- und senkrecht zur Feldrichtung die Hall-Spannung
gemessen. Aus dem Vorzeichen der Hall Spannung kann das Vorzeichen der bewegten elektrischen Ladung bestimmt werden.
ist die Ladungsträgerdichte
Hall-Spannung Herleitung





ist die Höhe des "Kondenstarors
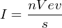
Herleitung Driftgeschwindigkeit
verkürzt
die Elektronendichte wird durch
berechnet / 
ist die Querschnittsfläche des Plättchen-> Einsetzen



Einsetzen in obere Gleichung


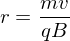
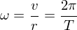
Massenbestimmung mit dem Fadenstrahlrohr
- kugelförmige Glasröhre gefüllt mit Wasserstoffgas
- Glühkathode
- Glasröhre befindet sich im Magnetfeld von einem Helmholtz Spulenpaar -> Lorentzkraft wirkt senkrecht zur Bewegungsrichtung der Elektronen
- Elektronen werden durch die Glühkathode emittiert -> regen teilweise mit Wasserstoffatomen an -> es kommt zum Leuchten
- Radius
hängt von der Beschleunigungsspannung
ab


Fadenstrahlrohr - spezifische Ladung - Herleitung


Gleichsetzten

Umformen
Formel für die Bahngeschwindigkeit der Elektronen

Einsetzten

Massenbestimmung mit dem Wien-Filter
- radioaktive Quelle
- Elektronenstrahl geht durch elektrisches Feld
- senkrecht zum elektr. Feld ist ein mag. Feld vorhanden
- die beiden Kräfte auf die Elektronen sind entgegengesetzt
- nur wenn sich beide Kräfte kompensieren, können die Elektronen auf einer geraden Bahn fliegen
- Beweis für die Massenzaunnahme von Elektronen bei höheren Geschwindigkeiten (Bucherer 1908)


Massenspektrografie
- Atome/Moleküle deren Masse bestimmt werden soll, werden durch elektrische Ladung ionisiert und beschleunigt
- Atome/Moleküle durchfliegen erst ein elektrisches und dann ein magnetische Feld
Für die Ablenkung gilt:
und für die Kreisbahn 
Herleitung: http://lp.uni-goettingen.de/get/text/5373
Zyklotron
Zirkularbeschleuniger:

- zwei hohle D-förmige Elektroden (Duanten)-> getrennt durch einen Spalt
- starkes magn. Feld
- aus Ionenquelle in der Mitte treten Ionen aus
- Ionen durchfliegen kreisförmige Bahn
- durch geeignete Wechselspannung werden die Ionen immer weiter beschleunigt -> Geschwindigkeit und Bahnradius wächst
- nach jedem halben Umlauf werden die Duanten umgepolt -> möglich da die Frequenz unabhängig von r und v ist
- Ablenkung durch Ablenkplatte auf ein bestimmtes Ziel
- aufgrund der Massenzunahme sind Beschleunigung nur bis ca.10% c möglich

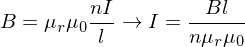
Magnetfeld eines stromdurchflossenen Leiters - Versuch
- mag. Feldstärke wird an einem stromdurchflossenen Leiter mit der Hall-Sonde gemessen Festellung:
und B


Magnetfeld einer langen Spule
Versuch:
Im Allgemeinen gilt:
- lange Spule mit der Länge
und den Windungen
durch die der Strom
fließt wird mit einer Hall-Sonde untersucht - Untersuchung der Abhängigkeit von B zu
Ergebnis: - es liegt eine homogenes Magnetfeld vor, da sich die einzelnen Magnetfelder der Teilwindungen überlagern und sich addieren
- außerhalb der Spule wird das Magnetfeld überwiegend ausgelöscht
-
-
-

Im Allgemeinen gilt:

Ferromagnetismus
bezeichnet die stark magnetische Eigenschafte von Metallen. Mit zunehmender Spulenstärke erreicht B von Eisen ein Sättigung

wird als Permeabilität bezeichnet

wird als Permeabilität bezeichnetInduktion
Ändert sich das Magnetfeld in einer Spule, sei es durch die Relativbewegung der Spule zu einem Magneten oder durch den Auf- und Abbau des Feldes (Stromstärke-Änderung) in der Spule, so wird eine Spannung
induziert. Diese ruft den Induktionsstrom
hervor.
Vorteil: die elektromagnetische Induktion kann mechanische Energie in elektr. Energie umwandeln.
induziert. Diese ruft den Induktionsstrom
hervor.Vorteil: die elektromagnetische Induktion kann mechanische Energie in elektr. Energie umwandeln.
Lenz'sche Regel
Der Induktionsstrom ist stets so gerichtet, dass er seiner Ursache entgegenwirkt.
Beispiel: Thomson'scher Ringversuch
Sobald der Spulenstrom eingeschaltet wird, schwingt der Ring von der Spule weg, unabhängig von den Polen der Spannungsquelle. #
Erklärung: Der Ring dient als eine Miniaturspule, sobald Strom durch die Spule fließt, wird der Eisenkern magnetisiert und im Ring wird ein Strom induziert, dessen Feld dem Magnetfeld des Eisenkerns entgegenwirkt. Der Ring wird aus dem Magnetfeld des Eisenkerns hinausgetrieben.

Beispiel: Thomson'scher Ringversuch
Sobald der Spulenstrom eingeschaltet wird, schwingt der Ring von der Spule weg, unabhängig von den Polen der Spannungsquelle. #
Erklärung: Der Ring dient als eine Miniaturspule, sobald Strom durch die Spule fließt, wird der Eisenkern magnetisiert und im Ring wird ein Strom induziert, dessen Feld dem Magnetfeld des Eisenkerns entgegenwirkt. Der Ring wird aus dem Magnetfeld des Eisenkerns hinausgetrieben.

Induktionsgesetz - Versuch
Versuch:



Zusammenfassen:
Durch die Lenz'sche Regel gilt aber:
- Induktionsspule befindet sich im Innern einer Feldspule
- Induktionsspule wird an Computermesssystem angeschlossen
- Feldspule ist an einen Funktionsgenerator angeschlossen



Zusammenfassen:
Durch die Lenz'sche Regel gilt aber:
Induktion durch Bewegung - Leiterschleife
Versuch:
- dünne, rechteckige Leiterschleife wird zwischen die Polschuhe von zwei Elektromagneten gebracht
- Leiterschleife wird langsam aus dem Magnetfeld heraus gezogen
- Ergebnis: Je schneller man die Schleife herauszieht, desto höher ist der induzierte Strom

Leiterschleife / Formel Herausziehen
eine Leiterschleife hat die Breite
und wird mit der Geschwindigkeit
aus einem konstanten Magnetfeld herausgezogen

wenn n=1 dann gilt

und wird mit der Geschwindigkeit
aus einem konstanten Magnetfeld herausgezogen
wenn n=1 dann gilt

Magnetische Fluss
Der magnetische Fluss
in einer Fläche
ist das Produkt aus dieser Fläche und der Feldstärke B, deren Feld senkrecht durch die Fläche tritt: 
Die Feldstärke B wird durch die Dichte der Feldlinien dargestellt.

in einer Fläche
ist das Produkt aus dieser Fläche und der Feldstärke B, deren Feld senkrecht durch die Fläche tritt: 
Die Feldstärke B wird durch die Dichte der Feldlinien dargestellt.

Bestimmung des Stromflusses mit der Drei-Finger-Regel
Daumen: Bewegungsrichtung des Leiters
Zeigefinger: Richtung der magnetischen Feldlinien
Mittelfinger: zeigt Richtung des Stromflusses der positiven Teilchen an.
Zeigefinger: Richtung der magnetischen Feldlinien
Mittelfinger: zeigt Richtung des Stromflusses der positiven Teilchen an.
Induktion - Lorentzkraft auf Elektronen
durch die Induktion in einer Leiterschleife wird die Lorentzkraft auf die Elektronen ausgeübt
elekt. Kraft = Lorentzkraft






elekt. Kraft = Lorentzkraft






Versuch mit Neongas und Induktion
- Glaskugel mit Neongas und einem Druck von 400Pa
- Kugel ist von ringförmiger Spule umgeben
- es fließt ein Wechselstrom mit hoher Frequenz
- es entsteht ein leuchtender Ring Erklärung:Der Wechselstrom erzeugt ein hoch frequentes Magnetfeld und damit wird auch ein hochfrequentes elektr. Feld erzeugt, dadurch werden freie Elektronen so stark beschleunigt, dass es ausreicht einzelnen Neonatome zu ionisieren. Es entsteht ein Gemisch aus Ionen und Elektronen (Plasma). Das Plasma sendet eine Strahlung aus und es entsteht ein leuchtender Ring.
Selbstinduktion - Versuch
- zwei parallel geschaltete Glühlampen
- über Schalter an Gleichstromquelle (12V) angeschlossen
- im oberen Zwei ist eine Spule mit Eisenkern
- im unteren Zweig befindet sich ein Widerstand, der genau so groß ist wie die Spule und dazu noch eine Diode
- zur Spule ist eine Glimmlampe parallel geschaltet, zündet bei 80V
Beobachtung: Beim Einschalteten leuchtet die oberen Lampe im Zweig der Spule etwas später, beim Ausschalten leuchtet die Glimmlampe kurz auf
Erklärung:
Strom verursacht magnetischen Fluss
-> durch die Stromänderung beim Einschalten wird eine Spannung induziert.Durch die Lenz'sche Regel wird das Anwachsen des Stromes/Magnetfeldes verzögert.
Beim Ausschalten wird durch den Widerstand eine so große Änderung des Stroms/magnet. Flusses hervorgerufen, dass die Glimmlampe zündet. Diode verhindert ein Abfließen in den unteren Zweig.
Ein- und Ausschaltvorgang mit einer Spule und einem ohmschen Widerstand
Durch die Maschenregel gilt:

Gleichung ableiten nach (t)
Beim Entladevorgang
, dazu fällt
beim Ableiten weg, da es eine Konstante ist

Einsetzten
Ansatz:
Einsetzten








Gleichung ableiten nach (t)
Beim Entladevorgang
, dazu fällt
beim Ableiten weg, da es eine Konstante ist

Einsetzten
Ansatz:
Einsetzten







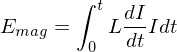
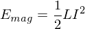
Selbstinduktion
Eine Stromänderung in einer Spule ändert den magnetischen Fluss dieser Spule, wodurch eine Spannung induziert wird. Nach der Lenz'schen Regel ist die Induktionsspannung der Stromänderung entgegen gesetzt. Dieser Vorgang wird als Selbstinduktion bezeichnet.
Selbstinduktion - Herleitung Formel
- da die induzierte Spannung der Stromänderung entgegen gerichtet ist. 

-> Da B und A konstant sind, kann sich nur noch
ändern


Kartensatzinfo:
Autor: JamesBond007
Oberthema: Physik
Thema: Magnetismus
Veröffentlicht: 07.11.2013
Schlagwörter Karten:
Alle Karten (34)
keine Schlagwörter














(1)

und 

