CoboCards
App
FAQ & Wishes
Feedback
Language:
English
Sign up for free
Login
Deutsch
English
Feedback
Don't forget your email so that we can contact you!
Send
Cancel
Thanks a lot :-)
Get these flashcards, study & pass exams. For free! Even on iPhone/Android!
Enter your e-mail address
and import flashcard set for free.
Go!
All main topics
/
Mathematik
/
Differentialrechnung
Differetialrechnung001
(10 Cards)
Say thanks
Tweet
1
Cardlink
0
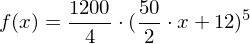
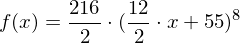
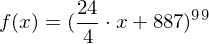
Ableitung von
2
Cardlink
0
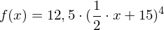
Ableitung von
3
Cardlink
0
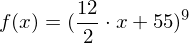
Ableitung von
4
Cardlink
0
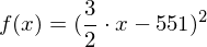
Ableitung von
5
Cardlink
0
Ableitung von
6
Cardlink
0
Ableitung von
7
Cardlink
0
Ableitung von
8
Cardlink
0
Ableitung von
9
Cardlink
0
Ableitung von
10
Cardlink
0
Ableitung von
Flashcard set info:
Author:
YYY
Main topic:
Mathematik
Topic:
Differentialrechnung
Published:
25.05.2010
Card tags:
All cards
(10)
no tags
Report abuse
Write in a few words why you want to report this flashcard set.
Report
Cancel
Email
Password
Login
Remember me
Forgot password?
The email or password is invalid.
Deutsch
English