What is an affine connection?
An affine connection is a connection 
satisfying
i)
ii)
iii)

satisfying
i)

ii)

iii)

What is a Riemannian or Levi Civita connection?
An affine connection that also satisfies
torsion-free

torsion-free
How is a differentiable manifold of dimension n defined?
A set M, a family of injective maps
is open such that

are open and
is differentiable
.
there exists a maximal atlas {
} relative to M
is open such that
are open and
is differentiable
.
there exists a maximal atlas {
} relative to MHow is a Riemannian Metric defined?
As g or
as an inner product,
where an inner product is
-symmetric,
-linear and
-positive definite
as an inner product,where an inner product is
-symmetric,
-linear and
-positive definite
Let
be a Vector field for
. When is X differentiable and how is
for
defined?
be a Vector field for
. When is X differentiable and how is
for
defined?X is differentiable if
is differentiable.


is differentiable.

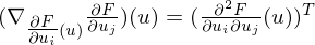
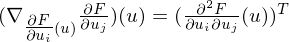
How was the covariant Derivative for two vector fields
simply (firstly) calculated?
simply (firstly) calculated?
where

How is a topological space
defined?
defined?We have a Family
of open subsets of
satisfying
(T.1)
(T.2)
(T.3)
of finite i's
of open subsets of
satisfying(T.1)

(T.2)

(T.3)
of finite i'sWhat is the algebraic Definition of a tangent vector at p?
satisfying(1)

(2)

where
{diff. fcts. at p}An n-dimensional smooth manifold M is called orientable if
There exists a differentiable atlas
for M s.t.
at p, for all p in
for M s.t.
at p, for all p in
What is an Immersion?
where
is differentiable is called an immersion if
is injective 
equivalently

What is an Embedding?
An Immersion
that is a homeomorphism
cont's)
and
has the subspace topology induced from
.
that is a homeomorphism
cont's) and
has the subspace topology induced from
.What is an intrinsic quality?
A geometric quality that can be expressed only in terms of
and its derivative function.
and its derivative function.What is the difference of an affine connection and the covariant derivative?
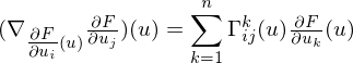
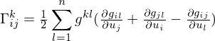
is an affine connection as
is the covariant derivative for the vector fields X and Y.Kartensatzinfo:
Autor: Yann-Paul
Oberthema: Mathematik
Thema: Differentialgeometrie123
Veröffentlicht: 15.11.2018
Schlagwörter Karten:
Alle Karten (40)
keine Schlagwörter


,
open. 


if connection is torsion free.
have?

Jacobi Identity
product rule
?
symmetries
Bianchi identity
a local isometry?
is an Isometry if



be calculated in terms of
?


defined?

be connected. What do we know for M?
defined?
calculated?
defined?
is called a tangent vector to
at
if
with

where
?


where

is any Vector.
,
.
,
open,
smooth and
or 









are the Eigenvalues of
.