CoboCards
App
FAQ & Wishes
Feedback
Language:
English
Sign up for free
Login
Deutsch
English
Feedback
Don't forget your email so that we can contact you!
Send
Cancel
Thanks a lot :-)
This flashcard is just one of a free flashcard set.
See all flashcards
!
All main topics
/
Maschinenbau
/
Mechanik
/
Mechanik III Aufgabensammlung Seiten 2-34
21
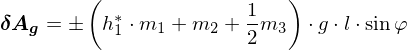
(Lager unten: +, Lager oben: -)
: Abstand vom Referenzlager zum Balkenmittelpunkt
New comment
Sign in to write a comment.
Flashcard info:
Author:
CoboCards-User
Main topic:
Maschinenbau
Topic:
Mechanik
School / Univ.:
RWTH Aachen
City:
Aachen
Published:
08.03.2019
Email
Password
Login
Remember me
Forgot password?
The email or password is invalid.
Deutsch
English