CoboCards App FAQ & Wishes Feedback
Language: English Language
Sign up for free  Login

This flashcard is just one of a free flashcard set. See all flashcards!

All main topics / Mathematics / Calculus / Series Tests(Calculus)
5
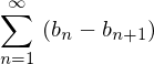
Telescoping Series

Also
Sum:
New comment
Flashcard info:
Author: floatingman
Main topic: Mathematics
Topic: Calculus
School / Univ.: Middle Tennesse State Univeristy
City: Murfreesboro
Published: 15.09.2009

Cancel
Email

Password

Login    

Forgot password?
Deutsch  English