CoboCards
App
FAQ & Wishes
Feedback
Language:
English
Sign up for free
Login
Deutsch
English
Feedback
Don't forget your email so that we can contact you!
Send
Cancel
Thanks a lot :-)
Get these flashcards, study & pass exams. For free! Even on iPhone/Android!
Enter your e-mail address
and import flashcard set for free.
Go!
All main topics
/
Physik
/
Quantenmechanik
Theo Physik
(27 Cards)
Say thanks
Tweet
1
Cardlink
0
Zusammenhang: Energie - Frequenz
2
Cardlink
0
Zusammenhang: Impuls - Wellenlänge
3
Cardlink
0
Zusammenhang: Wellenlänge - Frequenz
4
Cardlink
0
Zusammenhang: Energie - Wellenlänge
5
Cardlink
0
6
Cardlink
0
Heisenbergsche Unschärferelation (Formel?)
7
Cardlink
0
Energie-Zeit-Unschärfe (Formel?)
8
Cardlink
0
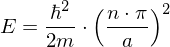
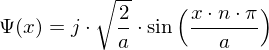
Teilchen im
-Kasten: Eigenfunktion
9
Cardlink
0
Teilchen im
-Kasten: Eigenwerte
10
Cardlink
0
Hamiltonoperator
für 1dim.
mit
11
Cardlink
0
Zeitunabhängige Schrödingergleichung
12
Cardlink
0
Ortsoperator
13
Cardlink
0
Impulsoperator
14
Cardlink
0
Drehimpulsoperator
15
Cardlink
0
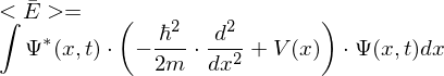
Ortsmittelwert
16
Cardlink
0
Impulsmittelwert
17
Cardlink
0
Energiemittelwert
18
Cardlink
0
Drehimpulsmittelwert
19
Cardlink
0
Eigenwertgleichung
20
Cardlink
0
Potential des harmonischen Oszillator
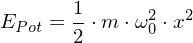
Parabellpotential:
21
Cardlink
0
Bewegungsgleichung des harmonischen Oszillator
22
Cardlink
0
Schrödingergleichung für den QM harmonischen Oszillator
1)
2)
23
Cardlink
0
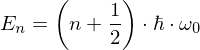
Energieeigenwerte des QM harmonischen Oszillators
24
Cardlink
0
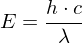
Spektrum des H-Atoms (Formel)
Elektron fällt von Schale n zurück auf m
25
Cardlink
0
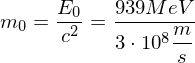
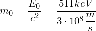
Ruhemasse Photon?
26
Cardlink
0
Ruhemasse Elektron?
27
Cardlink
0
Ruhemasse Neutron?
Flashcard set info:
Author:
Thorsten Schlender
Main topic:
Physik
Topic:
Quantenmechanik
Published:
05.02.2014
Card tags:
All cards
(27)
no tags
Report abuse
Write in a few words why you want to report this flashcard set.
Report
Cancel
Email
Password
Login
Remember me
Forgot password?
The email or password is invalid.
Deutsch
English