CoboCards
App
FAQ & Wishes
Feedback
Language:
English
Sign up for free
Login
Deutsch
English
Feedback
Don't forget your email so that we can contact you!
Send
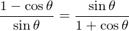
Cancel
Thanks a lot :-)
Get these flashcards, study & pass exams. For free! Even on iPhone/Android!
Enter your e-mail address
and import flashcard set for free.
Go!
All main topics
/
Mathematics
/
Trigonometry
Basic Trigonometric Identities & Laws
(29 Cards)
Say thanks
Tweet
1
Cardlink
0
1
2
Cardlink
0
3
Cardlink
0
4
Cardlink
0
What is the sine rule?
5
Cardlink
0
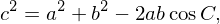
What is the cosine rule ?
6
Cardlink
0
Sin (A+B)=
SinACosB+CosASinB
7
Cardlink
0
Cos(A+B)=
CosACosB-SinASinB
8
Cardlink
0
Tan(A+B)=
9
Cardlink
0
Sin (A-B)
SinACosB-CosASinB
10
Cardlink
0
Cos (A-B)
CosACosB+SinASinB
11
Cardlink
0
Tan (A-B)
12
Cardlink
0
13
Cardlink
0
14
Cardlink
0
Tan (2A)
15
Cardlink
0
16
Cardlink
0
17
Cardlink
0
18
Cardlink
0
sin (–x)
–sin x
19
Cardlink
0
cos (–x)
cos x
20
Cardlink
0
tan (–x)
–tan x
21
Cardlink
0
csc (–x)
–csc x
22
Cardlink
0
sec (–x)
sec x
23
Cardlink
0
cot (–x)
–cot x
24
Cardlink
0
sin ( π / 2 – x )
cos x
25
Cardlink
0
cos ( π / 2 – x )
sin x
26
Cardlink
0
tan ( π / 2 – x )
cot x
27
Cardlink
0
sin ( π – x )
sin x
28
Cardlink
0
cos ( π – x )
-cos x
29
Cardlink
0
tan ( π – x )
-tan x
Flashcard set info:
Author:
CoboCards-User
Main topic:
Mathematics
Topic:
Trigonometry
Published:
23.07.2013
Card tags:
All cards
(29)
no tags
Report abuse
Write in a few words why you want to report this flashcard set.
Report
Cancel
Email
Password
Login
Remember me
Forgot password?
The email or password is invalid.
Deutsch
English