CoboCards App FAQ & Wünsche Feedback
Sprache: Deutsch Sprache
Kostenlos registrieren  Login

Hol' Dir diese Lernkarten, lerne & bestehe Prüfungen. Kostenlos! Auch auf iPhone/Android!

E-Mail eingeben: und Kartensatz kostenlos importieren.  
Und Los!
Alle Oberthemen / BWL / Übungsfragen (Blau)

BWL UE (TU Graz) (27 Karten)

Sag Danke
1
Kartenlink
0
Umsatzrentabilität
Umsatzrentabilität UR =

Die Umsatzrentabilität gibt Aufschluss über die Gewinnrate je Euro Nettoumsatz. Die Kennzahl liefert wichtige Informationen über die Erfolgsentwicklung in Abhängigkeit von der Konjunkturlage. So z.B. ob der Gewinn in einer Wachstumsphase stärker oder schwächer steigt als der Umsatz.
2
Kartenlink
0
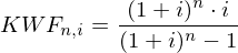
KWF Kapitalwiedergewinnungsfaktor (auch Annuitätenfaktor )
3
Kartenlink
0
Preis/Absatz --> gewinnmaximale Absatzmenge
DB' null setzen



DB' = ... --> Null setzen und gewinnmaximales X berechnen
4
Kartenlink
0
Preis-Absatz-Funktion PAF
p(x) = k*x + d



(meist negativ, weil höherer Preis p zu niedrigem x führt)
5
Kartenlink
0
Interpolieren effektive Zinssätze, Kapitalwerte 5% 10%




6
Kartenlink
0
Rücklagen versus Rückstellungen
Rücklagen = Eigenkapital

Rückstellungen = Fremdkapital
7
Kartenlink
0
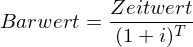
Barwert
Barwert = Zeitwert * Abzinsungsfaktor (Diskontierungsfaktor)




bzw.

Abzinsungsfaktor



i = Zinssatz (z.B. 6% ... 0,06)
8
Kartenlink
0
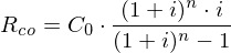
Annuität (Rate) R_co vom Kapitalwert Co







KWF = KapitalWiedergewinnungsFaktor
Tags:
Quelle: 6-51
9
Kartenlink
0
Cash Flow (detailierte Version)
Jahresüberschuss /-fehlbetrag
+ Abschreibungen
- Zuschreibungen
+ Dotierung von langfristigen Rückstellungen
- Auflösung von langfristigen Rückstellungen
= Cash Flow (NWC)
+/- Veränderung aus der betrieblichen Tätigkeit
= Cash Flow aus der Betriebstätigkeit (CF operativ)

+/- Ein- und Auszahlungen im Investitionsbereiche
= Cash Flow aus der Investitionstätigkeit

+/- Ein- und Auszahlungen im Finanzbereich
= Cash Flow aus der Finanztätigkeit


Cash Flow aus der Betriebstätigkeit
Cash Flow aus der Investitionstätigkeit
Cash Flow aus der Finanztätigkeit
= Nettozunahme/-abnahme der flüssigen Mittel
10
Kartenlink
0
Nettozunahme/-abnahme der flüssigen Mittel

Cash Flow aus der Betriebstätigkeit
Cash Flow aus der Investitionstätigkeit
Cash Flow aus der Finanztätigkeit
= Nettozunahme/-abnahme der flüssigen Mittel
11
Kartenlink
0
Cash Flow aus der Betriebstätigkeit

Jahresüberschuss /-fehlbetrag
+ Abschreibungen
- Zuschreibungen
+ Dotierung von langfristigen Rückstellungen
- Auflösung von langfristigen Rückstellungen
= Cash Flow (NWC)

+/- Veränderung aus der betrieblichen Tätigkeit
= Cash Flow aus der Betriebstätigkeit (CF operativ)
12
Kartenlink
0
Verschuldungsquote
Verschuldungsquote



(Kapital- bzw. Finanzierungsanalyse)
13
Kartenlink
0
Verschuldungsgrad
VerschuldungsGRAD



(Kapital- bzw. Finanzierungsanalyse)

Je höher der Kennzahlenwert des Verschuldungsgrades ist, umso mehr steigt die Abhängigkeit der Unternehmen von Fremdkapitalgebern. Dadurch gerät die Liquidität in Gefahr da es umso schwieriger ist, zusätzliches Fremdkapital aufzubringen.
14
Kartenlink
0
Umschlagshäufigkeit
Umschlagshäufigkeit


15
Kartenlink
0
ROI
ROI = UR x UH

Umsatzrentabilität x Umschlagshäufigkeit

Mit der Kennziffer ROI (Return on Investment) wird sowohl die Rendite des gesamten investierten Kapitals berechnet, sowie auch die Beziehung zwischen Rentabilität und Umschlagshäufigkeit hergestellt. Durch die Aufspaltung in die zwei Kennzahlen (UR und UH) kann eine verbes-serte Aussage über Entwicklungen und Einflüsse gemacht werden.
16
Kartenlink
0
Deckungsgrad I
Deckungsgrad I



Die Kennzahl beschreibt, mit welcher Eigenkapitalquote das Anlagevermögen finanziert wurde.

Errechnet sich ein Deckungsgrad I von 30 % bedeutet dies, dass jedem Euro des Anlagevermögens lediglich 0,30 € Eigenkapital zuzurodnen sind.

17
Kartenlink
0
Deckungsgrad II
Deckungsgrad II



Der Deckungsgrad II beschreibt, mit wie viel Prozent das Anlagevermögen langfristig finanziert ist.

Beispiel:
Geht man von einem Ergebnis von 70 % aus, bedeutet dies, dass 30 % kurzfristig finanziert werden müssen. Anlagevermögen sollte i. d. R. jedoch auch langfristig gebunden und finanziert werden. Daher ist ein Deckungsgrad II von mindestens 100 % zu erzielen.
18
Kartenlink
0
Quick Ratio
Quick Ratio =



(Liquidität 2. Grades)

Die Kennzahl der Liquidität zweiten Grades beschreibt das Verhältnis der gesamten Forderungen zzgl. der gesamten flüssigen Mittel mit dem kurzfristigen Fremdkapital eines Unternehmens

Bedeutung:
Die Kennzahl der Liquidität zweiten Grades beschreibt das Verhältnis der gesamten Forderungen zzgl. der gesamten flüssigen Mittel mit dem kurzfristigen Fremdkapital eines Unternehmens

Beispiel:
Erhält man als Ergebnis eine Liquidität von 25 %, sind lediglich 25 % der kurzfristigen Verbindlichkeiten durch die flüssigen Mittel sowie Forderungen gedeckt.
19
Kartenlink
0
Working Capital
Working Capital =



WC (Nettoumlaufvermögen) eine absolute Zahl. Es ist jener Teil des Umaufvermögens, der mit langfristigen Eigen- oder Fremdkapital finanziert ist.
Je höher das WC, desto gesicherter ist die zukünftige Liquiditätslage.

20
Kartenlink
0
Unterschied zwischen bilanzieller und kalkulatorischer Abschreibung?
Bilanzielle Abschreibung: gesetzliche Nutzungsdauer und wirkt sich als Aufwand für diesen Zeitraum

a bil = AW / ND bil

Kalkulatorische Abschreibung: effektive Nutzungsdauer



a kalk = WW - RW / ND kalk

WW Wiederbeschaffungswert
21
Kartenlink
0
Cash Flow
Cash Flow = Jahresüberschuss (nach Steuern)
+ nicht ausgabewirksame Aufwendungen (Abschreibungen + Dotierung von langfr. Rückstellungen)
- nicht einnahmewirksamen Erträgen (Zuschreibungen, Auflösunge von langfr. Rückstellungen)

NWC Net Working Capital
Nettoumlaufvermögen

Das Nettoumlaufvermögen (engl. net working capital) erlaubt es, den Nettofinanzbedarf zur Finanzierung kurzfristiger Aktiva zu ermitteln; Es ist definiert als das Kapital, das für ein Unternehmen Umsatz generiert, ohne Kapitalkosten im engeren Sinne zu verursachen.
Es berechnet sich aus dem Umlaufvermögen abzüglich der liquiden Mittel abzüglich der Verbindlichkeiten aus Lieferungen und Leistungen. Ein negatives net working capital bedeutet, dass Lieferanten Umsätze vorfinanzieren. [Wikipedia]
22
Kartenlink
0
Current Ratio


(Liquidität 3. Grades)

Die Kennzahl der Liquidität dritten Grades beschreibt das Verhältnis des kurz- und mittelfristigen Fremdkapitals mit dem gesamten Umlaufvermögen des Unternehmens.

Bedeutung:
Die Kennzahl lässt erkennen, ob das Anlagevermögen kurzfristig finanziert wurde. Als kurzfristiges Fremdkapital werden hier Verbindlichkeiten aus Lieferungen und Leistungen angesehen, aber auch Bankkredite und Darlehen mit einer Laufzeit von weniger als einem Jahr sowie (kurzfristige) Rückstellungen. Mittelfristiges Fremdkapital bezeichnet Verbindlichkeiten zwischen einem und fünf Jahren.

Beispiel:
Erhält man als Ergebnis eine Liquidität von 40 % zeigt dies, dass 40 % der kurzen und mittelfristigen Verbindlichkeiten durch das Umlaufvermögen gedeckt ist.
23
Kartenlink
0
Gesamtkapitalrentabilität
Gesamtkapitalrentabilität



24
Kartenlink
0
Eigenkapitalrentabilität
Eigenkapitalrentabilität


25
Kartenlink
0
Anlagenintensität
Anlagenintensität

26
Kartenlink
0
Investitionsdeckungsquote
Investitionsdeckungsquote

27
Kartenlink
0
Eigenkapitalanteil
Eigenkapitalanteil



(Kapital- bzw. Finanzierungsanalyse)

Der Eigenkapitalanteil ist ein Maßstab für Krisenanfälligkeit, und Kreditwürdigkeit. Er dient damit zur Beurteilung der finanziellen Stabilität und Risikolage des Unternehmens.
Kartensatzinfo:
Autor: Fa
Oberthema: BWL
Thema: Übungsfragen (Blau)
Schule / Uni: TU Graz
Ort: Graz
Veröffentlicht: 20.11.2011
Tags: BWl, UE, TU Graz
 
Schlagwörter Karten:
Alle Karten (27)
keine Schlagwörter
Missbrauch melden

Abbrechen
E-Mail

Passwort

Login    

Passwort vergessen?
Deutsch  English