This flashcard is just one of a free flashcard set. See all flashcards!
32
Gradient, Divergenz und Rotation
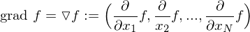
Gradient


Punkte
mit
heißen stationäre oder kritische Punkte.
Divergenz


Ist
, so heißt das Vektorfeld quellenfrei.
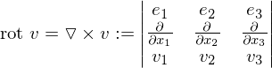
Rotation


Ist
, so heißt das Vektorfeld wirbelfrei.


Punkte
mit
heißen stationäre oder kritische Punkte.Divergenz


Ist
, so heißt das Vektorfeld quellenfrei.Rotation


Ist
, so heißt das Vektorfeld wirbelfrei.
