Produktionsfaktoren (Gutenberg) / 3/07/1a
1) elementare PF:
1a) objektbezogene (ausführende) Arbeit: (Gebrauchs- bzw. Potentialfaktoren) (originäre Faktoren)
Tätigkeit AN nach Anweisungen
Tätigkeiten, die unmittelbar mit der Leistungserstellung, Leistungsverwertung und
finanziellen Aufgaben verbunden solange sie nicht dispositiv-anordnender Natur
sind
1b) Betriebsmittel: (Gebrauchs- bzw. Potentialfaktoren) (originäre Faktoren) Gesamtheit aller Einrichtungen und Anlagen, die zur Erstellung und Verwertung
betrieblicher Leistungen erforderlich sind, aber selbst nicht Bestandteil der
Erzeugnisse werden
Voraussetzung für Herstellung von Produkten (Maschinen, Fuhrpark, Werkzeuge)
1c) Werkstoffe (Verbrauchs- bzw. Repetierfaktoren) (originäre Faktoren): zur konkreten Herstellung von Produkten (Roh- und Hilfsstoffe),
Ausgangsstoffe für die Herstellung betrieblicher Leistungen
1a) objektbezogene (ausführende) Arbeit: (Gebrauchs- bzw. Potentialfaktoren) (originäre Faktoren)
Tätigkeit AN nach Anweisungen
Tätigkeiten, die unmittelbar mit der Leistungserstellung, Leistungsverwertung und
finanziellen Aufgaben verbunden solange sie nicht dispositiv-anordnender Natur
sind
1b) Betriebsmittel: (Gebrauchs- bzw. Potentialfaktoren) (originäre Faktoren) Gesamtheit aller Einrichtungen und Anlagen, die zur Erstellung und Verwertung
betrieblicher Leistungen erforderlich sind, aber selbst nicht Bestandteil der
Erzeugnisse werden
Voraussetzung für Herstellung von Produkten (Maschinen, Fuhrpark, Werkzeuge)
1c) Werkstoffe (Verbrauchs- bzw. Repetierfaktoren) (originäre Faktoren): zur konkreten Herstellung von Produkten (Roh- und Hilfsstoffe),
Ausgangsstoffe für die Herstellung betrieblicher Leistungen
Gesellschaftsformen: PartG, stille Gesellschaft
PartG:
Gesellschaft, in der sich Angehörige Freier Berufe zur Ausübung ihrer Berufe zusammenschließen. Sie übt kein Handelsgewerbe aus. Angehörige einer Partnerschaft können nur natürliche Personen sein. Bloße Kapitalbeteiligung ist nicht zulässig.
stille Gesellschaft
Eine stille Gesellschaft entsteht dadurch, dass sich eine natürliche Person oder juristische Person am Handelsgewerbe eines anderen mit einer Vermögenseinlage beteiligt. Die Einlage in die stille Gesellschaft kann daneben auch in Form von Arbeitsleistung erbracht werden.
Die stille Gesellschaft ist eine Innengesellschaft. Für einen Außenstehenden ist sie in der Regel nicht erkennbar. Etwas anderes gilt für die stille Beteiligung an einer Aktiengesellschaft.
Gesellschaft, in der sich Angehörige Freier Berufe zur Ausübung ihrer Berufe zusammenschließen. Sie übt kein Handelsgewerbe aus. Angehörige einer Partnerschaft können nur natürliche Personen sein. Bloße Kapitalbeteiligung ist nicht zulässig.
stille Gesellschaft
Eine stille Gesellschaft entsteht dadurch, dass sich eine natürliche Person oder juristische Person am Handelsgewerbe eines anderen mit einer Vermögenseinlage beteiligt. Die Einlage in die stille Gesellschaft kann daneben auch in Form von Arbeitsleistung erbracht werden.
Die stille Gesellschaft ist eine Innengesellschaft. Für einen Außenstehenden ist sie in der Regel nicht erkennbar. Etwas anderes gilt für die stille Beteiligung an einer Aktiengesellschaft.
Produktionskoeffizient (03/07/1c)

gibt die erforderliche Einsatzmenge des Faktors h (im Rahmen der gesamten produktiven Kombination) zur Produktion einer Mengeneinheit der Ausbringung an.
Wikipedia: Der Produktionskoeffizient ist ein Begriff der faktororientierten Produktionswirtschaft. Er gibt diejenige Menge eines Produktionsfaktors an, der zur Herstellung einer Produkteinheit des Erzeugnisses benötigt wird. Beispiele sind Mitarbeiterstunden pro Auto oder der Stahlbedarf pro Auto
Minimalkostenkombination (3/07/2)
Grenzrate der Substitution:
des Faktors 2 durch den Faktor 1 gibt für jede Einsatzmenge von Faktor 1 an, um wieviel die Einsatzmenge des Faktors 2 geändert werden muss, damit bei marginaler Änderung der Einsatzmenge von Faktor 1 die produzierte Ausbringungsmenge unverändert bleibt. Die Grenzrate der Substitution gibt somit das Ausbringungsmengen-indifferente marginale Faktoraustauschverhältnis an.
Mathematisch wird die GRS des Faktors
durch den Faktor
durch den Differentialquotienten
ausgedrückt.
Expansionspfad: geometrische Ort aller Minimalkosten-kombinationen, die sich bei konstanten Faktorpreisen und sukzessiver Variation der Ausbringungsmenge M ergeben. Er gibt daher das optimale Faktoreinsatzverhältnis bei variabler Beschäftigung M an. Zu seiner Bestimmung muss daher die Beziehung zwischen
und den Faktorpreisen
und
bekannt sein.
des Faktors 2 durch den Faktor 1 gibt für jede Einsatzmenge von Faktor 1 an, um wieviel die Einsatzmenge des Faktors 2 geändert werden muss, damit bei marginaler Änderung der Einsatzmenge von Faktor 1 die produzierte Ausbringungsmenge unverändert bleibt. Die Grenzrate der Substitution gibt somit das Ausbringungsmengen-indifferente marginale Faktoraustauschverhältnis an.
Mathematisch wird die GRS des Faktors
durch den Faktor
durch den Differentialquotienten
ausgedrückt.
Expansionspfad: geometrische Ort aller Minimalkosten-kombinationen, die sich bei konstanten Faktorpreisen und sukzessiver Variation der Ausbringungsmenge M ergeben. Er gibt daher das optimale Faktoreinsatzverhältnis bei variabler Beschäftigung M an. Zu seiner Bestimmung muss daher die Beziehung zwischen
und den Faktorpreisen
und
bekannt sein.Investition 3/07/3c,b
c) Berechnen sie den Endwert der Investition unter der Annahme das liquide Mittel in Höhe von 500 zur Verfügung stehen
Der Endwert ist der aufgezinste Kapitalwert + dem aufgezinsten Startguthaben
EW=C*(1+i)^n+EK^n
EW=105,39^4+500^4=886,35
Der Endwert beträgt 886,35 €
D) Ermitteln sie die Annuität der Investition
Der Anuitätenfaktor ist der Kehrwert des RBF
Annuität=C/RBF
RBF=(1,1^4-0,1)/(0,1*1,1^4)
A=105,39*0,1*1,1^4/(1,1^4-0,1)=33,25
Bei gegebenem Kapitalwert und einer Laufzeit von 4 Jahren beträgt die Annuität 33,25 €
Der Endwert ist der aufgezinste Kapitalwert + dem aufgezinsten Startguthaben
EW=C*(1+i)^n+EK^n
EW=105,39^4+500^4=886,35
Der Endwert beträgt 886,35 €
D) Ermitteln sie die Annuität der Investition
Der Anuitätenfaktor ist der Kehrwert des RBF
Annuität=C/RBF
RBF=(1,1^4-0,1)/(0,1*1,1^4)
A=105,39*0,1*1,1^4/(1,1^4-0,1)=33,25
Bei gegebenem Kapitalwert und einer Laufzeit von 4 Jahren beträgt die Annuität 33,25 €
Finanzierung 07/03/4a
Ordnen sie die folgenden Finanzierungsarten der jeweils richtigen Form der Finanzierung zu, wenn diese nach der Rechtstellung der Kapitalgeber unterteilt ist:
- Einlagenfinanzierung
- Kredigfinanzierung
- Selbstfinanzierung
- Rückstellungsfinanzierung
Unterteilung nach Rechtsstellung der Kapitalgeber:
Eigenfinanzierung:
Einlagenfinanzierung, Selbstfinanzierung
Fremdfinanzierung:
Kreditfinanzierung, Rückstellungsfinanzierung
nicht Aufgabe: Unterteilung nach Herkunft Kapital
Außenfinanzierung:
Einlagenfinanzierung, Kreditfinanzierung
Innenfinanzierung:
Selbstfinanzierung, Rückstellungsfinanzierung
- Einlagenfinanzierung
- Kredigfinanzierung
- Selbstfinanzierung
- Rückstellungsfinanzierung
Unterteilung nach Rechtsstellung der Kapitalgeber:
Eigenfinanzierung:
Einlagenfinanzierung, Selbstfinanzierung
Fremdfinanzierung:
Kreditfinanzierung, Rückstellungsfinanzierung
nicht Aufgabe: Unterteilung nach Herkunft Kapital
Außenfinanzierung:
Einlagenfinanzierung, Kreditfinanzierung
Innenfinanzierung:
Selbstfinanzierung, Rückstellungsfinanzierung
2.2 Produktion
Repetier- und Verbrauchsfaktoren 07/09/1a, 08/032a
Repetier- und Verbrauchsfaktoren 07/09/1a, 08/032a
Repetier- und Verbrauchsfaktoren:
gehen nach einmaligem Gebrauch im Produktionsprozess unter
Repetier- oder Verbrauchsfaktoren werden bei ihrem Einsatz im Transformationsprozess sofort verbraucht und stehen danach nicht mehr zur Verfügung. Sie gehen somit im Produktionsprozess unter und müssen für jeden Produktionsvorgang erneut eingesetzt werden.
Zu den Repetierfaktoren, die substantiell in die Produkte eingehen, zählen die outputorientierten Werkstoffe.
Dazu gehören Rohstoffe, Hilfsstoffe (Nebenbestandteile, die in das Produkt eingehen, aber wert- oder mengenmäßig wenig bedeutend sind, wie Schrauben, Nieten, Schweißmaterial),
Zu den prozessorientierten Repetierfaktoren, die nicht in das Produkt eingehen, aber zur Durchführung des Produktionsprozesses benötigt und von Potentialfaktoren
verbraucht werden, zählen Werkstoffe wie Betriebsstoffe (Treibstoffe, Schmiermittel, Reinigungsstoffe, Werkzeuge usw.) und Energie in jeder Form
Unterscheidung zu Potential- oder Gebrauchsfaktoren, nächste Karte
gehen nach einmaligem Gebrauch im Produktionsprozess unter
Repetier- oder Verbrauchsfaktoren werden bei ihrem Einsatz im Transformationsprozess sofort verbraucht und stehen danach nicht mehr zur Verfügung. Sie gehen somit im Produktionsprozess unter und müssen für jeden Produktionsvorgang erneut eingesetzt werden.
Zu den Repetierfaktoren, die substantiell in die Produkte eingehen, zählen die outputorientierten Werkstoffe.
Dazu gehören Rohstoffe, Hilfsstoffe (Nebenbestandteile, die in das Produkt eingehen, aber wert- oder mengenmäßig wenig bedeutend sind, wie Schrauben, Nieten, Schweißmaterial),
Zu den prozessorientierten Repetierfaktoren, die nicht in das Produkt eingehen, aber zur Durchführung des Produktionsprozesses benötigt und von Potentialfaktoren
verbraucht werden, zählen Werkstoffe wie Betriebsstoffe (Treibstoffe, Schmiermittel, Reinigungsstoffe, Werkzeuge usw.) und Energie in jeder Form
Unterscheidung zu Potential- oder Gebrauchsfaktoren, nächste Karte
2.2 Produktion: Repetier- oder Verbrauchsfaktoren 08/032a
Potential- oder Gebrauchsfaktoren
Potential- oder Gebrauchsfaktoren
Potential- oder Gebrauchsfaktoren
Nutzenpotentiale, die erst nach mehrmaligem Einsatz im Produktionsprozess untergehen.
Stellen ihr Leistungsvermögen innerhalb des
Produktionsprozesses langfristig, d.h. über mehrere Perioden (Jahre), zur Verfügung.
Materielle oder immaterielle Betriebsmittel
Abbildung Skript
Nutzenpotentiale, die erst nach mehrmaligem Einsatz im Produktionsprozess untergehen.
Stellen ihr Leistungsvermögen innerhalb des
Produktionsprozesses langfristig, d.h. über mehrere Perioden (Jahre), zur Verfügung.
Materielle oder immaterielle Betriebsmittel
Abbildung Skript
2.2 Produktion
Originäre und derivative Faktoren
Originäre und derivative Faktoren
stellen ihr Leistungsvermögen innerhalb des
Produktionsprozesses langfristig, d.h. über mehrere Perioden (Jahre), zur Verfügung
Originäre Faktoren: objektbezogene Arbeit, Betriebsmittel, Werkstoffe, Unternehmensleitung
Derivative (abgeleitete) Faktoren: Planung, Organisation
originär:
ursprünglich vorhandene Produktionsfaktoren d.h. die Produktionsfaktoren die in einem Unternehmen immer vonhanden sind/sein müssen.
In der BWL wären das Arbeit, Betriebsmittel (Geldkapital und Sachkapital), Werktstoffe (Roh-,Hilfs-,und Betriebsstoffe) und die Geschäftsführung.
derivativ: (abgeleitet)
sind aus den originären Prod. fakt. abgeleitet und sollen der Unterstützung dienen und damit ein Unternehmen Erfolg hat. In der BWL z.B. Planung, Kontrolle, Organisation
Produktionsprozesses langfristig, d.h. über mehrere Perioden (Jahre), zur Verfügung
Originäre Faktoren: objektbezogene Arbeit, Betriebsmittel, Werkstoffe, Unternehmensleitung
Derivative (abgeleitete) Faktoren: Planung, Organisation
originär:
ursprünglich vorhandene Produktionsfaktoren d.h. die Produktionsfaktoren die in einem Unternehmen immer vonhanden sind/sein müssen.
In der BWL wären das Arbeit, Betriebsmittel (Geldkapital und Sachkapital), Werktstoffe (Roh-,Hilfs-,und Betriebsstoffe) und die Geschäftsführung.
derivativ: (abgeleitet)
sind aus den originären Prod. fakt. abgeleitet und sollen der Unterstützung dienen und damit ein Unternehmen Erfolg hat. In der BWL z.B. Planung, Kontrolle, Organisation
2.2.2 Produktionstheorie
Homogenität 07/09 2b)
Homogenität 07/09 2b)
KE1, 70
Produktionsfunktion ist homogen vom Grade t, wenn bei einer Änderung des Prozessniveaus für λ>0 die Ausbringungsmenge das λt-fache der Ausbringungsmenge M beträgt.
Homogenitätsgrade:
t>1: überlinearhomogen
t=1: linearhomogen
t<1:unterlinearhomogen
Produktionsfunktion ist homogen vom Grade t, wenn bei einer Änderung des Prozessniveaus für λ>0 die Ausbringungsmenge das λt-fache der Ausbringungsmenge M beträgt.
Homogenitätsgrade:
t>1: überlinearhomogen
t=1: linearhomogen
t<1:unterlinearhomogen
2.4.2 Aufbauorganisation
Unterscheidung von Stellen 07/09/ 1c
Unterscheidung von Stellen 07/09/ 1c
o Instanzen:
- Stellen mit Leitungsaufgaben (Entscheidungs- und Anordnungskompetenz)
o Ausführungsstellen:
- Durchführung operativer Tätigkeiten (handeln lediglich auf Anweisung)
o Stabsstellen:
- sind einzelnen Instanzen zugeordnet
- übernehmen bestimmte, aus den Leitungsaufgaben
ausgegliederte Teilaufgaben (aber ohne Anordnungskompetenz)
- dienen der Entlastung und Unterstützung der Instanz
- besitzen i.d.R. Informations- und Verfügungskompetenzen
- Stellen mit Leitungsaufgaben (Entscheidungs- und Anordnungskompetenz)
o Ausführungsstellen:
- Durchführung operativer Tätigkeiten (handeln lediglich auf Anweisung)
o Stabsstellen:
- sind einzelnen Instanzen zugeordnet
- übernehmen bestimmte, aus den Leitungsaufgaben
ausgegliederte Teilaufgaben (aber ohne Anordnungskompetenz)
- dienen der Entlastung und Unterstützung der Instanz
- besitzen i.d.R. Informations- und Verfügungskompetenzen
2.3.2 Das absatzpolitische Instrumentarium (Marketing-Mix)
Kommunikatiospolitik: Werbung 07/09/ 1d
Kommunikatiospolitik: Werbung 07/09/ 1d
- absichtliche und zwangfreie Beeinflussung von (potentiellen) Kunden durch den Einsatz von Massenkommunikationsmitteln, durch die die (potentiellen) Kunden zu einer bestimmten, den Unternehmenszielen dienenden Verhaltensweise veranlasst werden sollen
- Probleme der Werbeplanung:
o Festlegung der Werbeziele und Zielgruppen
o Bestimmung der Höhe des Werbeetats
o Festlegung der Werbeobjekte, Werbemittel und Werbeträger
- Probleme der Werbeplanung:
o Festlegung der Werbeziele und Zielgruppen
o Bestimmung der Höhe des Werbeetats
o Festlegung der Werbeobjekte, Werbemittel und Werbeträger
3.1.2 Finanzierung 07/09 1e)
Zuordnung folgender Finanzierungsarten, den jeweils richtigen Formen der Finanzierung, wenn nach Herkunft des Kapitals unterschieden werden soll.
- Kreditfinanzierung: Außenfinanzierung
- Selbstfinanzierung: Innenfinanzierung
Außenfinanzierung:
Einlagenfinanzierung, Kreditfinanzierung
Innenfinanzierung:
Selbstfinanzierung, Rückstellungsfinanzierung
+++
Unterteilung nach Rechtsstellung der Kapitalgeber:
Eigenfinanzierung:
Einlagenfinanzierung, Selbstfinanzierung
Fremdfinanzierung:
Kreditfinanzierung, Rückstellungsfinanzierung
- Kreditfinanzierung: Außenfinanzierung
- Selbstfinanzierung: Innenfinanzierung
Außenfinanzierung:
Einlagenfinanzierung, Kreditfinanzierung
Innenfinanzierung:
Selbstfinanzierung, Rückstellungsfinanzierung
+++
Unterteilung nach Rechtsstellung der Kapitalgeber:
Eigenfinanzierung:
Einlagenfinanzierung, Selbstfinanzierung
Fremdfinanzierung:
Kreditfinanzierung, Rückstellungsfinanzierung
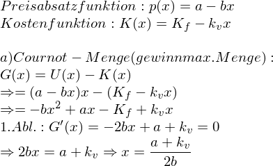
Gutenberg-Produktionfunktion 07/09 2
2c) Bestimmen Sie das Intervall von Ausbringungsmenge M, welches sich im Rahmen einer intensitätsmäßigen Anpassung ergibt, sowie die zugehörige Gesamtkostenfunktion.
Bei der Forderung nach größeren Ausbringungsmengen als
muss mit einer größeren Intensität als
produziert werden.
Ökonomisch sinnvollste kleinstmögliche Intesität x bei gegebener Ausbringungsmenge M ergibt sich dabei nur, wenn die insgesamt zu Verfügung stehende Einsatzzeit
vollständig in Anspruch genommen wird, so dass gilt:

Intervall für Ausbringungsmengen bei intensitätsmäßige Anpassung:

Bei der Forderung nach größeren Ausbringungsmengen als
muss mit einer größeren Intensität als
produziert werden.Ökonomisch sinnvollste kleinstmögliche Intesität x bei gegebener Ausbringungsmenge M ergibt sich dabei nur, wenn die insgesamt zu Verfügung stehende Einsatzzeit
vollständig in Anspruch genommen wird, so dass gilt:
Intervall für Ausbringungsmengen bei intensitätsmäßige Anpassung:

Unternehmensbewertung 08/03 3a
Konfliktsituationen
Konfliktsituationen
o Kauf/Verkauf + Fusion/Spaltung
o Dominiert / nicht domiert
o jungiert / nicht jungiert
o eindimensional / mehrdimensional
o Kauf/Verkauf
Übertragung von Eigentum an Bewertungsobjekt, Erhalt einer Gegenleistung
o Fusion/Spaltung
Konfliktparteien verschmelzen mehrere UN und erhalten dafür Anteile an dem neuen UN
o Dominiert
Einseitige Durchsetzbarkeit einer Änderung der Eigentumsverhältnisse
o Nicht dominiert
Keine einseitige Durchsetzbarkeit einer Änderung der Eigentumsverhältnisse möglich
Unternehmensbewertung 08/03 3a
Konfliktsituationen
Konfliktsituationen
o Jungiert
Mindestens eine Konfliktpartei steht noch in anderen Konfliktsituationen
o Disjungiert
keine Konfliktpartei steht noch in anderen Konfliktsituationen
o Eindimensional
Nur ein konfliktlösungsrelevanter Sachverhalt gegeben
o Mehrdimensional
mehrere konfliktlösungsrelevante Sachverhalte gegeben (Preis, Firmensitz, etc.)
Mindestens eine Konfliktpartei steht noch in anderen Konfliktsituationen
o Disjungiert
keine Konfliktpartei steht noch in anderen Konfliktsituationen
o Eindimensional
Nur ein konfliktlösungsrelevanter Sachverhalt gegeben
o Mehrdimensional
mehrere konfliktlösungsrelevante Sachverhalte gegeben (Preis, Firmensitz, etc.)
Unternehmensbewertung 08/03 3b1
Ertragswert/Kaufpreis
Ertragswert/Kaufpreis
b1)
KE3 S. 12 Kapitalwert startet bei t=0
KE3 S. 27: Ertragswert startet bei t=1
in dieser Aufgabe:
Kapitalwert = Ertragswert = max.Kaufpreis.
Beim Ertragswert rechnest du Periode 0 nicht mit.
Da hier g0 aber eh = 0 ist stimmen die Werte überein.
Das sind die gleichen Überlegungen wie bei Investitionen und Kapitalwertberechnung am Anfang von KE 3, der Unterschied ist lediglich, dass bei Investitionen der Zahlungsstrom ab t = 1 mit der Anfangsinvestition bei t= 0 verglichen wird, während bei der Unternehmensbewertung der Zahlungsstrom ab t = 1 mit dem Kaufpreis verglichen wird und es dafür bei t = 0 keine Zahlung gibt.
KE3 S. 12 Kapitalwert startet bei t=0
KE3 S. 27: Ertragswert startet bei t=1
in dieser Aufgabe:
Kapitalwert = Ertragswert = max.Kaufpreis.
Beim Ertragswert rechnest du Periode 0 nicht mit.
Da hier g0 aber eh = 0 ist stimmen die Werte überein.
Das sind die gleichen Überlegungen wie bei Investitionen und Kapitalwertberechnung am Anfang von KE 3, der Unterschied ist lediglich, dass bei Investitionen der Zahlungsstrom ab t = 1 mit der Anfangsinvestition bei t= 0 verglichen wird, während bei der Unternehmensbewertung der Zahlungsstrom ab t = 1 mit dem Kaufpreis verglichen wird und es dafür bei t = 0 keine Zahlung gibt.
Buchführung + Jahresabschluss 08/03 4a)
Bestandteile des handelsrechtlichen Jahresabschlusses einer Kapitalgesellschaft
Bestandteile des handelsrechtlichen Jahresabschlusses einer Kapitalgesellschaft
KE4 55,64
Bilanz, GuV, Anhang
Funktion des Anhangs:
Erläuterungsfkt, Korrekturfkt, Entlastungsfkt, Ergänzungsfkt
Eine große Kapitalgesellschaft muss den Lagebericht machen, kleinere können wenn sie wollen... jedoch ist er kein Bestandteil des Jahresabschlusses, wird aber im zuge dessen mit erstellt und gesondert aufgeführt.
Bilanz, GuV, Anhang
Funktion des Anhangs:
Erläuterungsfkt, Korrekturfkt, Entlastungsfkt, Ergänzungsfkt
Eine große Kapitalgesellschaft muss den Lagebericht machen, kleinere können wenn sie wollen... jedoch ist er kein Bestandteil des Jahresabschlusses, wird aber im zuge dessen mit erstellt und gesondert aufgeführt.
Pflichtangaben Anhang:
Allgemeine Grundsätze der Bilanzierung, Bewertung und Währungsumrechnung:
Die im Jahresabschluss angewandten Methoden der Bilanzierung und Bewertung einzelner Bilanzposten werden im Anhang dargestellt und erläutert. Er enthält also die Information darüber, welche Sachverhalte in die Bilanz aufgenommen wurden und mit welchem Wert sie ausgewiesen werden. Haben sich die Methoden im Vergleich zu den Vorjahren geändert, sind die Abweichungen und ihr Einfluss auf die Vermögens-, Finanz- und Ertragslage darzustellen. Für Forderungen und Verbindlichkeiten in Fremdwährung sind die Umrechnungskurse anzugeben.
Erläuternde, ergänzende und korrigierende Informationen zur Bilanz und zur Gewinn- und Verlustrechnung:
nächste KK
Sonstige Angaben:
Der Anhang enthält die Namen aller Mitglieder der Geschäftsführung und des Aufsichtsrates und Angaben über ihre sämtlichen Bezüge und Bezugsrechte sowie die Anzahl der beschäftigten Arbeitnehmer.
Die im Jahresabschluss angewandten Methoden der Bilanzierung und Bewertung einzelner Bilanzposten werden im Anhang dargestellt und erläutert. Er enthält also die Information darüber, welche Sachverhalte in die Bilanz aufgenommen wurden und mit welchem Wert sie ausgewiesen werden. Haben sich die Methoden im Vergleich zu den Vorjahren geändert, sind die Abweichungen und ihr Einfluss auf die Vermögens-, Finanz- und Ertragslage darzustellen. Für Forderungen und Verbindlichkeiten in Fremdwährung sind die Umrechnungskurse anzugeben.
Erläuternde, ergänzende und korrigierende Informationen zur Bilanz und zur Gewinn- und Verlustrechnung:
nächste KK
Sonstige Angaben:
Der Anhang enthält die Namen aller Mitglieder der Geschäftsführung und des Aufsichtsrates und Angaben über ihre sämtlichen Bezüge und Bezugsrechte sowie die Anzahl der beschäftigten Arbeitnehmer.
Erläuternde, ergänzende und korrigierende Informationen zur Bilanz und zur Gewinn- und Verlustrechnung:
Posten, die in der Bilanz aus Klarheitsgründen zusammengefasst wurden, müssen im Anhang aufgeschlüsselt werden. Das betrifft insbesondere das Anlagevermögen. Wert und Entwicklung der einzelnen Anlagegüter werden im Anlagespiegel erläutert. Auch die gewählte Art der Abschreibung wird im Anhang beschrieben. Die in der Gewinn- und Verlustrechnung summierten Umsätze sind nach Tätigkeitsbereichen und geographischen Märkten aufzugliedern, bei Anwendung des Umsatzkostenverfahrens muss der Material- und Personalaufwand gesondert angegeben werden.
Für zahlreiche Pflichtangaben des Jahresabschlusses bestehen Ausweis-Wahlrechte. Aus Gründen der Klarheit und Übersichtlichkeit kann es sinnvoll sein, Posten in der Bilanz und GuV wegzulassen und in den Anhang aufzunehmen. Ergänzende Angaben sind ferner Informationen zu Sachverhalten, die nicht bilanziert werden müssen, die aber zur realistischen Beurteilung der Lage notwendig sind, zum Beispiel zukünftige, bereits feststehende finanzielle Verpflichtungen.
Korrigierende Angaben können notwendig sein, um ein zu günstiges oder ein zu ungünstiges Bild aufzuhellen. Beispiele dafür sind einmalige, außergewöhnliche Ergebnisse durch den Verkauf von Standorten oder langfristige Aufträge, die im laufenden Geschäftsjahr zum Ausweis von Verlusten führen. Auch die Auswirkung steuerlicher Vorschriften, also die Abweichung von Steuer- und Handelsbilanz, wird im Anhang erläutert.
Für zahlreiche Pflichtangaben des Jahresabschlusses bestehen Ausweis-Wahlrechte. Aus Gründen der Klarheit und Übersichtlichkeit kann es sinnvoll sein, Posten in der Bilanz und GuV wegzulassen und in den Anhang aufzunehmen. Ergänzende Angaben sind ferner Informationen zu Sachverhalten, die nicht bilanziert werden müssen, die aber zur realistischen Beurteilung der Lage notwendig sind, zum Beispiel zukünftige, bereits feststehende finanzielle Verpflichtungen.
Korrigierende Angaben können notwendig sein, um ein zu günstiges oder ein zu ungünstiges Bild aufzuhellen. Beispiele dafür sind einmalige, außergewöhnliche Ergebnisse durch den Verkauf von Standorten oder langfristige Aufträge, die im laufenden Geschäftsjahr zum Ausweis von Verlusten führen. Auch die Auswirkung steuerlicher Vorschriften, also die Abweichung von Steuer- und Handelsbilanz, wird im Anhang erläutert.
Buchführung + Jahresabschluss 08/03 4b)
Verfahren GuV 1/2
Verfahren GuV 1/2
Gesamt- oder Umsatzkostenverfahren
Beide Methoden starten zwar mit den Umsatzerlösen der jeweiligen Periode. Jedoch werden diesen Erlösen nach unterschiedlichen Kriterien Kostenarten zugeordnet bzw. der Ergebnisausweis angepasst. Das Gesamtkostenverfahren berücksichtigt alle Kosten, die in der betrachteten Rechnungsperiode bei der betrieblichen Leistungserstellung entstanden sind, und stellt ihnen alle erzielten Erlöse gegenüber. Da Kosten und Erlös bei der Herstellung wirtschaftlicher Güter nicht zwangsläufig in die gleiche Periode fallen (zum Beispiel werden Güter nicht unbedingt in der gleichen Periode verkauft, in der sie hergestellt wurden), müssen bei diesem Verfahren die Bestandsänderungen an Halb- und Fertigfabrikaten (Lagerbestände zu Herstellkosten) heraus gerechnet werden, um vergleichbare Größen für die Ermittlung des Betriebsergebnisses zu erhalten. Das gleiche gilt für die Eigenleistungen, also Leistungen, die nicht verkauft, sondern im eigenen Betrieb verbraucht werden. Das Umsatzkostenverfahren setzt auch auf den Umsatzerlösen einer Periode auf. Ihnen werden nur diejenigen Kosten gegenübergestellt, die für die tatsächlich verkauften Produkte angefallen sind (Umsatzkosten).
Beide Methoden starten zwar mit den Umsatzerlösen der jeweiligen Periode. Jedoch werden diesen Erlösen nach unterschiedlichen Kriterien Kostenarten zugeordnet bzw. der Ergebnisausweis angepasst. Das Gesamtkostenverfahren berücksichtigt alle Kosten, die in der betrachteten Rechnungsperiode bei der betrieblichen Leistungserstellung entstanden sind, und stellt ihnen alle erzielten Erlöse gegenüber. Da Kosten und Erlös bei der Herstellung wirtschaftlicher Güter nicht zwangsläufig in die gleiche Periode fallen (zum Beispiel werden Güter nicht unbedingt in der gleichen Periode verkauft, in der sie hergestellt wurden), müssen bei diesem Verfahren die Bestandsänderungen an Halb- und Fertigfabrikaten (Lagerbestände zu Herstellkosten) heraus gerechnet werden, um vergleichbare Größen für die Ermittlung des Betriebsergebnisses zu erhalten. Das gleiche gilt für die Eigenleistungen, also Leistungen, die nicht verkauft, sondern im eigenen Betrieb verbraucht werden. Das Umsatzkostenverfahren setzt auch auf den Umsatzerlösen einer Periode auf. Ihnen werden nur diejenigen Kosten gegenübergestellt, die für die tatsächlich verkauften Produkte angefallen sind (Umsatzkosten).
Buchführung + Jahresabschluss 08/03 4b)
Verfahren GuV 2/2
Verfahren GuV 2/2
Ein zweiter wesentlicher Unterschied ist die Gruppierung der Kostenarten: Während das Gesamtkostenverfahren nach Kostenarten (Materialkosten, Personalkosten, Abschreibungen) gegliedert ist, gruppiert das Umsatzkostenverfahren die Kosten nach Funktionsbereichen (Produktion, Vertrieb, Verwaltung). Für eine kurzfristige, insbesondere für die monatliche Ergebnisrechnung ist die Funktionsgliederung aussagefähiger. Das Betriebsergebnis für einzelne Produkte oder Produktgruppen lässt sich so einfacher ermitteln. Die Aufschlüsselung nach Kostenarten ist hier jedoch nur nach Umrechnung und daher nicht immer verursachergerecht möglich.
Wenn die Bewertung der Bestände nach den gleichen Kriterien erfolgt, führt die Berechnung des Jahresüberschusses bei beiden Verfahren zum gleichen Ergebnis.
Wenn die Bewertung der Bestände nach den gleichen Kriterien erfolgt, führt die Berechnung des Jahresüberschusses bei beiden Verfahren zum gleichen Ergebnis.
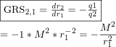
Mimimalkostenfunktion 08/09 2a)
GRS
GRS
Grenzrate der Substitution:
Das marginale Faktoraustauschverhältnis
des Faktors 2 durch den Faktor 1 gibt für jede Einsatzmenge von Faktor 1 an, um wieviel die Einsatzmenge des Faktors 2 geändert werden muss, damit bei marginaler Änderung der Einsatzmenge von Faktor 1 die produzierte Ausbringungsmenge unverändert bleibt.
Mathematisch wird die GRS des Faktors
durch den Faktor
durch den Differentialquotienten
ausgedrückt.
Das marginale Faktoraustauschverhältnis
des Faktors 2 durch den Faktor 1 gibt für jede Einsatzmenge von Faktor 1 an, um wieviel die Einsatzmenge des Faktors 2 geändert werden muss, damit bei marginaler Änderung der Einsatzmenge von Faktor 1 die produzierte Ausbringungsmenge unverändert bleibt.
Mathematisch wird die GRS des Faktors
durch den Faktor
durch den Differentialquotienten
ausgedrückt.
Mimimalkostenfunktion 08/09 2b)
GRS + totales Differential
GRS + totales Differential
hier: Symbol für die partielle Ableitung D
Auf einer Isoquante ist die Summe der partiellen Ableitungen der Produktionsfunktion nach den Einsatzfaktoren gleich 0, weil marginale Änderungen der Faktoreinsatzmengen auf der Isoquante die Ausbringungsmenge nicht ändern, d.h.
dM = (DM/Dr1) * dr1 + (DM/Dr2) * dr2 = 0
Also: GRS2,1 = dr2/dr1 = -1 * (DM/Dr1) / (DM/Dr2)
"Die Grenzrate der Substitution entspricht dem negativen Umkehrverhältnis der Grenzprodukte"
Auf einer Isoquante ist die Summe der partiellen Ableitungen der Produktionsfunktion nach den Einsatzfaktoren gleich 0, weil marginale Änderungen der Faktoreinsatzmengen auf der Isoquante die Ausbringungsmenge nicht ändern, d.h.
dM = (DM/Dr1) * dr1 + (DM/Dr2) * dr2 = 0
Also: GRS2,1 = dr2/dr1 = -1 * (DM/Dr1) / (DM/Dr2)
"Die Grenzrate der Substitution entspricht dem negativen Umkehrverhältnis der Grenzprodukte"
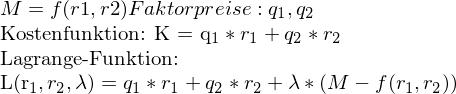
Mimimalkostenfunktion 08/09 2d)
GRS + Lagrange + Differentiation
GRS + Lagrange + Differentiation
Lagrange-Bedingungen im Kostenminimum:
DL/Dr1 = q1 - lambda * DM/Dr1 = 0, d.h. lambda = q1 / (DM/Dr1) (1)
DL/Dr2 = q2 - lambda * DM/Dr2 = 0, d.h. lambda = q2 / (DM/Dr2) (2)
DL/dlambda = M - f(r1,r2) = 0
Aus (1) und (2) folgt im Kostenminimun:
q1 / (DM/Dr1) = q2 / (DM/Dr2)
q1/q2 = (DM/Dr1) / (DM/Dr2) = -GRS2,1 (siehe b))
Also: Im Kostenminimum gilt: (dr2/dr1=) GRS2,1 = -q1/q2
"Im Kostenminimum entspricht die Grenzrate der Substitution dem negativen (Umkehr-)Verhältnis der Faktorpreise"
DL/Dr1 = q1 - lambda * DM/Dr1 = 0, d.h. lambda = q1 / (DM/Dr1) (1)
DL/Dr2 = q2 - lambda * DM/Dr2 = 0, d.h. lambda = q2 / (DM/Dr2) (2)
DL/dlambda = M - f(r1,r2) = 0
Aus (1) und (2) folgt im Kostenminimun:
q1 / (DM/Dr1) = q2 / (DM/Dr2)
q1/q2 = (DM/Dr1) / (DM/Dr2) = -GRS2,1 (siehe b))
Also: Im Kostenminimum gilt: (dr2/dr1=) GRS2,1 = -q1/q2
"Im Kostenminimum entspricht die Grenzrate der Substitution dem negativen (Umkehr-)Verhältnis der Faktorpreise"
Finanzierung 08/09 4)
| Merkmale | Eigenkapital | Fremdkapital |
| Haftung | mind. in Höhe der Einlage | keine Haftung |
| Gewinnanteil | Anteil am Erfolg (Gewinn/Verlust) | kein Anteil |
| zeitliche Verfügbarkeit/Überlassung | unbegrenzt | terminiert |
| Vermögensanspruch | Anteil am Liquidationsgewinn | in Höhe der Forderung |
| Finanzierungskapazität | begrenzt | unbegrenzt (abh. von Sicherheiten + Risiken |
Abschreibung 08/09 6)
a) Was bedeutet Abschreibung?
rechnerischer Ausdruck einer Wertminderung eines Anlagegutes
Istkostenrechnung:
Kosten durch allmähliche Abnutzung der Potentialfaktoren
b) 300.000 linear über 10 Jahre abschreiben:
lineare Abschr: Abschreibung wird gleichmäßig auf Nutzungsdauer verteilt.
c) Wie hoch liegt die jährliche Abschreibungsrate, bei einem Restwert von 30.000?

rechnerischer Ausdruck einer Wertminderung eines Anlagegutes
Istkostenrechnung:
Kosten durch allmähliche Abnutzung der Potentialfaktoren
b) 300.000 linear über 10 Jahre abschreiben:
lineare Abschr: Abschreibung wird gleichmäßig auf Nutzungsdauer verteilt.
c) Wie hoch liegt die jährliche Abschreibungsrate, bei einem Restwert von 30.000?

Abschreibung 08/09 6)
d) Digitale Abschreibung über 5 Jahre. Wie lautet/n d und die einzelnen Abschreibungsbeträge?
wenn die Differenz der Abschreibungsbeträge d zweier benachbarter Zeitpunkte so berechnet ist, dass sie zugleich der allerletzten Abschreibungsrate entspricht, liegt digitale Abschreibung vor.
wenn die Differenz der Abschreibungsbeträge d zweier benachbarter Zeitpunkte so berechnet ist, dass sie zugleich der allerletzten Abschreibungsrate entspricht, liegt digitale Abschreibung vor.
Rentabilitätsmaximierung 09/03 1)
R'=(G'K-K'G)/K² =0
was zu G'/G=K'/K führt.
Interpretation: Die Rentabilität kann so lange gesteigert werden, wie die relative Änderungsrate größer ist als die re. Änd. der Kapitalbedarfsfunktion. Im Maximum sind beide gleich groß.
Gewinn lässt sich auch nach Rentabilitätsmaximum durch weiteren Kapitaleinsatz bei sinkender Rentabilität steigern
was zu G'/G=K'/K führt.
Interpretation: Die Rentabilität kann so lange gesteigert werden, wie die relative Änderungsrate größer ist als die re. Änd. der Kapitalbedarfsfunktion. Im Maximum sind beide gleich groß.
Gewinn lässt sich auch nach Rentabilitätsmaximum durch weiteren Kapitaleinsatz bei sinkender Rentabilität steigern
Rentabilität 09/03 1)
Die Rentabilität ist ein relatives Ziel, d.h. bei maximaler Rendite ist nicht automatisch das Gewinnmaximum erreicht.
- Zeitlicher Faktor muss berücksichtigt werden.
- Wenn am 1. Geschäftstag die Rentabilität sehr hoch, reicht der Gewinn des 1. Tages nicht für das gesamte Geschäftsjahr. Wenn an den anderen Tagen bei geringerer Rentabilität weiter gearbeitet wird, steigert sich der Gewinn, obwohl die Rentabilität sinkt
- Im Rentabilitätsmaximum ist der Grenzgewinn des Kapital gleich dem Durchschnittsgewinn:
- Die Funktion der Grenzrendite schneidet die Funktion der Durchschnittsrendite (Rentabilität) in ihrem Maximum.
- Die Grenzrendite ist bei maximaler Rentabilität positiv, aber abnehmend.
- Dies bedeutet, dass sich der Gewinn durch Einsatz zusätzlichen Kapitals bei gleichzeitig sinkender Rentabilität noch steigern lässt, bis er sein Maximum bei einer Grenzrendite von null erreicht.
Flashcard set info:
Author: nic08
Main topic: BWL
Topic: Einführung in die BWL
Published: 01.04.2010
Card tags:
All cards (72)
no tags





nach
) liefert 

und 











.
























