Def.: Punkte von M
Sei
ein metrischer Raum,
.
Ein Punkt
heißt:
innerer Punkt von
, wenn
für ein 
äußerer Punkt von
, wenn
für ein 
Randpunkt von
, wenn
und
für alle 
Häufungspunkt von
, wenn
für alle 
isolierter Punkt von
, wenn
für ein
.
ist kein Häufungspunkt.
(z.B. für
ist jedes
ein isolierter
Punkt von
)
ein metrischer Raum,
. Ein Punkt
heißt:innerer Punkt von
, wenn
für ein 
äußerer Punkt von
, wenn
für ein 
Randpunkt von
, wenn
und
für alle 
Häufungspunkt von
, wenn
für alle 
isolierter Punkt von
, wenn
für ein
.
ist kein Häufungspunkt. (z.B. für
ist jedes
ein isolierter Punkt von
)Eigenschaften abgeschlossener Mengen
ist abgeschlossen
Jeder Häufungspunkt von
gehört zu
.
ist abgschlossen genau dann, wenn
offen ist.
sind abgeschlossenDer Durchschnitt beliebig vieler abgeschlossener Mengen ist wieder abgeschlossen. Die Vereinigung endlich vieler abgeschlossener Mengen ist wieder abgeschlossen.
Satz über Vollständigkeit von 

Der unendlichdimensionale normierte Raum
ist vollständig bezüglich
(Maximum- bzw. Supremumnorm auf
.
Bemerkungen
1. Bezüglich der durch das Skalarprodukt

bestimmten Norm ist
nicht vollständig.
2. Konvergenz bezüglich des Maximum heißt auch gleichmäßige Konvergenz der Funktionenfolge
im Gegensatz zur punktweisen Konvergenz der Funktionenfolge
von
für jedes
.
ist vollständig bezüglich
(Maximum- bzw. Supremumnorm auf
.Bemerkungen
1. Bezüglich der durch das Skalarprodukt

bestimmten Norm ist
nicht vollständig.2. Konvergenz bezüglich des Maximum heißt auch gleichmäßige Konvergenz der Funktionenfolge
im Gegensatz zur punktweisen Konvergenz der Funktionenfolge
von
für jedes
.Banachscher Fixpunktsatz
Sei
ein vollständig metrischer Raum und
eine Kontraktion auf
.
Dann besitzt
in
genau einen Fixpunkt
.
Dieser ergibt sich durch sukzessive Approximationen:

mit beliebigem Startpunkt
.
Bemerkung
Der Fixpunktsatz gilt auch, wenn
ersetzt wird durch ein abgeschlossenes
.
ein vollständig metrischer Raum und
eine Kontraktion auf
. Dann besitzt
in
genau einen Fixpunkt
.Dieser ergibt sich durch sukzessive Approximationen:

mit beliebigem Startpunkt
.Bemerkung
Der Fixpunktsatz gilt auch, wenn
ersetzt wird durch ein abgeschlossenes
.Def.: Toatales Differential
Sei
und
ein Gebiet des
.
Dann heißt
(total) differenzierbar in
, falls


mit einem Vektor
und 
Wir nennen
Ableitung von
in
.
Folgerung
(1) Ist
(total) differenzierbar in
, so ist
auch stetig in
. 
(2) Ist
in
(total) differenziebar, dann auch partiell.
(3) Ist
, so ist
(total) differenzierbar in
.
und
ein Gebiet des
.Dann heißt
(total) differenzierbar in
, falls

mit einem Vektor
und 
Wir nennen
Ableitung von
in
.Folgerung
(1) Ist
(total) differenzierbar in
, so ist
auch stetig in
. 
(2) Ist
in
(total) differenziebar, dann auch partiell.(3) Ist
, so ist
(total) differenzierbar in
.Def.: Vektorfeld
BSP
BSP
Ein Vektorfeld auf
ist eine Abbildung


Speziell heißt
ein
-Vektorfeld auf
, falls
.
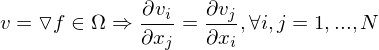
Integrabilitätsbedingungen
(1) Zwei Stammfunktionen zum Vektorfeld
auf einem Gebiet
unterscheiden sich nur durch eine Konstante.
(2) Dem Vektorfeld
kann eine Differentialform zugeordnet werden:

ist exakt wenn gilt:

(3) Integrabilitätsbedingung

ist eine Abbildung 

Speziell heißt
ein
-Vektorfeld auf
, falls
.Integrabilitätsbedingungen
(1) Zwei Stammfunktionen zum Vektorfeld
auf einem Gebiet
unterscheiden sich nur durch eine Konstante.(2) Dem Vektorfeld
kann eine Differentialform zugeordnet werden:
ist exakt wenn gilt:
(3) Integrabilitätsbedingung

Def.: Diffeomorphismus
Seien
Gebiete.
Eine Abbildung
heißt Diffeomorphismus, wenn
bijektiv ist und
differenzierbar sind.
heißt
-Diffeomorphismus, falls
-Abbildungen sind.
Man nennt
einen lokalen Diffeomorphismus falls es zu jedem
offene Mengen
gibt, so dass die Einschränkung
von
auf
ein Diffeomorphismus von
auf
ist.
Gebiete.Eine Abbildung
heißt Diffeomorphismus, wenn
bijektiv ist und
differenzierbar sind.
heißt
-Diffeomorphismus, falls
-Abbildungen sind.Man nennt
einen lokalen Diffeomorphismus falls es zu jedem
offene Mengen
gibt, so dass die Einschränkung
von
auf
ein Diffeomorphismus von
auf
ist.Absolute Integrierbarkeit
Sei
ein offenes oder halboffenes Intervall. Dann heißt
auf
absolut integrierbar, falls
konvergiert oder
auf
(uneigentlich) Riemann-integrierbar ist.
Aus absoluter Konvergenz folgt Konvergenz.
ist absolut integrierbar genau dann, wenn eine der beiden folgenden Bedingungen erfüllt ist:
1.Beschränktheitskriterium


2. Majorantenkriterium
Es existiert eine positive Funktion
mit
für alle
und
konvergiert.
ein offenes oder halboffenes Intervall. Dann heißt
auf
absolut integrierbar, falls
konvergiert oder
auf
(uneigentlich) Riemann-integrierbar ist.Aus absoluter Konvergenz folgt Konvergenz.
ist absolut integrierbar genau dann, wenn eine der beiden folgenden Bedingungen erfüllt ist:1.Beschränktheitskriterium


2. Majorantenkriterium
Es existiert eine positive Funktion
mit
für alle
und
konvergiert.
Flashcard set info:
Author: Schokoholic007
Main topic: Mathematik
Topic: Analysis
Published: 22.04.2010
Card tags:
All cards (53)
no tags


.
heißt Metrik oder Abstand, falls für alle
gilt:


heißt dann metrischer Raum.
heißt konvergent gegen
, wenn für alle
ein 

ist äquivalent zur koordinatenweise Konvergenz.
ist die Menge aller inneren Punkte von M.
ist die Menge aller äußeren Punkte von M.
ist die Menge aller Randpunkte von M.
heißt Abschluss oder abgschlossene Hülle von 





, d.h.
liegt dicht in 
liegt auch
in
ein metrischer Raum. Dann heißt
Cauchy-Folge oder Fundamentalfolge, falls für jedes
existiert mit
für alle
.
sind vollständig, d.h. sie sind Banachräume bzgl. jeder Norm.
von
gleichmäßig konvergent gegen f, so ist
gleichmäßig konvergent gegen
.
konvergiert gleichmäßig gegen F und 
).
und
gleichmäßig konvergent gegen
und
für ein
.
.
).
für alle
gilt und






, so auch für alle 

.
reeler Funktionen)
heißt Homöomophismus, falls
stetig sind.
ein
existiert mit
und
für alle
.
zusammenhängend.
.
:

für
für reelle Funktionen 
ensteht durch Schnittpunkt einer Tangente an einem beliebigen Punkt mit der x-Achse.

(1 an der i-ten Stelle).
liefert den Anstieg der Fläche y = f(x) in
-Richtung und damit den Anstieg der Tangentialebene T.


sind die partiellen Ableitungen bis Ordnung
unabhängig von der Differentiationsreihenfolge.
und
falls
differenzierbar.

differenzierbar in


heißt Ableitung von 



sind Zeilenvektoren.
heißen stationäre oder kritische Punkte.
, so heißt das Vektorfeld quellenfrei.

, so heißt das Vektorfeld wirbelfrei.
sei ein Gebiet
.
:


und ist
dann hat
ist positiv definit
sind positiv


exisiert, so ist
Fixpunkt der Abbildung
mit
.
.
gelte
sowie die Auflösebedinung
.
und
, so dass genau eine stetige Funktion
existiert mit
und
.

hat die Dimension 
hat die Dimension 1
sowie monoton fallend.

)

, so heißt
Parametrintegral.
, so existiert
,
und
Kurve oder Weg, falls es eine stetige Abbildung
.
eine
.
heißt Parametrisierung von
, 
durch eine Funktion
gegeben, so wählt man die Parametrisierung
.
sind Intervalle, heißen äquivalent, wenn es einen
gibt, das heißt
.
heißt Parametertransformation von
eine reguläre
-Kurve mit Parametrisierung, so ist
ist vektorielles Bogenelement von
.
genau dann, wenn
vollständig in
, so gilt
so gilt:



heißt Normalbereich bezüglich er x-Achse, wenn
kompakt.
kompakt.
Gebiete und
ein
mit
die Formel

ein Gebiet sowie
.
:


