CoboCards App FAQ & Wishes Feedback
Language: English Language
Sign up for free  Login

Get these flashcards, study & pass exams. For free! Even on iPhone/Android!

Enter your e-mail address and import flashcard set for free.  
Go!
All main topics / BWL / Unternehmensführung

BWL C: VL Teil 2 (103 Cards)

Say thanks
1
Cardlink
0
Methodologie im Bereich Finanzwirtschaft
Quantitative Lösungen für komplexe Probleme.

Anwendung eines zweistufigen Entscheidungsprozesses:
Ausdrücken aller Konsequenzen einer Entscheidung in Zahlungen
Aggregation aller Zahlungen.
Dieser Entscheidungsprozess heißt typischerweise “Bewertung”.
Tags: bewertung, methodologie
Source: IuF Teil 1, Folie 3
2
Cardlink
0
Definition: Investition/Finanzierung
Investition: Entscheidung, die zunächst eine Auszahlung zur Folge
hat.

Finanzierung: Entscheidung, die zunächst eine Einzahlung zur Folge
hat.
Tags: finanzierung, investition
Source: IuF Teil 1, Folie 4
3
Cardlink
0
Finanzwirtschaftliche Sicht des Unternehmens
Vermögenswerte % % Verbindlichkeiten
Wert der Zahlungen der bestehenden Investitionen Kurz- und langfristige Vermögenswerte Fremdkapital Anspruch auf fixe Zahlungen, Geringe oder gar keine Rolle in der Unternehmensführung, Fixe Fälligkeit, Steuerabzugsfähigkeit
Erwarteter Wert der Zahlungen zukünftiger Investitionen Zukünftige Vermögenswerte Eigenkapital Residualanspruch auf die Zahlungen, Bedeutende Rolle in der Unternehmensführung, Unendliche Lebensdauer
Tags: verbindlichkeiten, vermögenswerte
Source: IuF Teil 1, Folie 5
4
Cardlink
0
Wertschöfpung durch geschickte Investitionen
Implementierung von Projekten, deren Ertrag die Kosten der
Finanzierung übersteigt.


Entscheidung gegen Projekte, deren Ertrag die Kosten der
Finanzierung unterschreitet.
Tags: investition, wertschöfpung
Source: IuF Teil 1, Folie 6
5
Cardlink
0
Finanzierungsarten: EK vs FK
Eine Unternehmung finanziert sich typischerweise mit Eigen- und
Fremdkapital.

Das grundsätzliche Unterscheidungsmerkmal zwischen Eigen- und Fremdkapital ist die Rechtsstellung der Kapitalgeber.
Bei Fremdkapital ist der Kapitalgeber Gläubiger und eine Verletzung der vertraglichen Verpflichtungen hat insolvenzrechtliche Konsequenzen.
Im Vergleich zu Ansprüchen von Eigentümern sind diejenigen von Gläubigern im Insolvenzrecht vorrangig.
Typischerweise werden in Fremdkapitalverträgen konkrete Zahlungsvereinbarungen getroffen.


Typische Finanzierungsarten %
Eigenkapital Nicht-ausgeschüttete Zahlungsüberschüsse, Aktien (bei Aktiengesellschaften), Stammanteile (bei GmbH).
Fremdkapital Kredite, Schuldverschreibungen (Anleihen).
Tags: eigenkapital, fremdkapital
Source: IuF Teil 1, Folie 8
6
Cardlink
0
Aktien (1/2)
Das Grundkapital einer Aktiengesellschaft wird in Aktien aufgeteilt
und bildet typischerweise den Löwenanteil des Eigenkapitals.

Aktien verbriefen im Grundsatz folgende Rechte
Recht auf Anteil am Bilanzgewinn (in Form einer Dividende)
Recht auf Anteil am Liquidationserlös.
Teilnahme an, Rederecht und Stimmrecht auf der Hauptversammlung.
Auskunftsrecht
Recht zur Stellung von Anträgen.
Recht zum Bezug junger Aktien.


Aktien besitzen keine begrenzte Laufzeit

Aktien können an Börsen gehandelt werden
Tags: aktie, aktien
Source: IuF Teil 1, Folie 9
7
Cardlink
0
Akiten (2/2)
Wichtige Unterscheidung: Stammaktien versus Vorzugsaktien.
Vorzugsaktien gewähren dem Inhaber bestimmte Vorrechte gegenüber Stammaktien
Typisch sind ein besonderer Dividendenanspruch (z.B. Vorab- oder Überdividende) gepaart mit der Abwesenheit des Stimmrechts.
Es existieren aber auch andere Formen von Vorzugsaktien, z.B. Mehrstimmrechtsaktien.


Eine Kapitalerhöhung bei einer Aktiengesellschaft erfolgt typischerweise durch die Ausgabe junger Aktien (Alternative: Kapitalerhöhung aus Gesellschaftsmitteln).
Eine Kapitalerhöhung muss von der Hauptversammlung (HV) mit mindestens Drei-Viertel-Mehrheit des vertretenen Grundkapitals beschlossen werden.
Eine Kapitalerhöhung kann auch im Vorhinein von der HV genehmigt werden. Allgemein: genehmigtes Kapital; mit aufschiebender Bedingung: bedingtes Kapital.
Tags: aktie, aktien, stammaktien, vorzugsaktien
Source: IuF Teil 1, Folie 10
8
Cardlink
0
Definition: Kreditfinanzierung
Ein Kredit ist die Gebrauchsüberlassung von Geld (oder vertretbaren Sachen) auf Zeit.
Als Kompensation für den Kreditgeber wird ein Kreditzins vereinbart. Dieser ist abhängig von der Bonität des Kreditnehmers.
Kredite an Unternehmen sind häufig besichert.
Kreditverträge enthalten typischerweise Zusatzvereinbarungen (Covenants) mit Auflagen für den Kreditnehmer.
Tags: covenants, kreditfinanzierung
Source: IuF Teil 1, Folie 11
9
Cardlink
0
Wichtige Kreditarten (1/2)

Kontokorrentkredit (Kreditlinie)
Zur Abwicklung des operativen Geschäfts
Hat fixe oder unbestimmte Laufzeit.
Ist ein revolvierender Kredit: Kann nach zwischenzeitlicher Rückführung immer wieder neu in Anspruch genommen werden.
Für den nicht in Anspruch genommenen Teil fällt eine Bereitstellungsprovision an.
Typischerweise ist der vereinbarte Zinssatz recht hoch


Lieferantenkredit durch die Vereinbarung von Zahlungszielen.
Tags: kontokorrentkredit, kreditarten, kreditlinie, lieferantenkredit
Source: IuF Teil 1, Folie 13
10
Cardlink
0
Wichtige Kreditarten (2/2)
Langfristige Kredite
Tilgungsformen
Endfällige Darlehen: Gesamttilgung am Ende der Laufzeit
Tilgungsdarlehen: Konstanter Tilgungsbetrag je Periode; impliziert rückläufige Gesamtzahlung.
Annuitätendarlehen: Im Zeitablauf ansteigende Tilgungsbeträge, so dass die Gesamtzahlung konstant bleibt


Zinsformen
Fester Zinssatz
Variabler Zinssatz. Typischerweise geknüpft an einen generellen
Marktzinssatz, z.B. LIBOR oder EURIBOR (London bzw. European Interbank Offered Rate).

Tags: kreditarten, langfristige kredite, tilgungsformen, zinsformen
Source: IuF Teil 1, Folie 14
11
Cardlink
0
Finanzierung durch Schuldverschreibungen
Schuldverschreibungen sind den Krediten ähnlich, allerdings werden die Ansprüche gegenüber dem Schuldner verbrieft.
Dies macht gerade Inhaberpapiere sehr leicht handelbar.
Typische Schuldverschreibungen sind Industrieanleihen (längerfristig) oder Commercial Paper (kurzfristig, unbesichert, Ausgabe im Rahmen eines Emissionsprogramms).
Es existieren außer reinen Schuldpapieren auch Anleihen mit teilweisem Eigenkapitalcharakter (z.B. Wandelanleihen).
Tags: commercial paper, finanzierung, industrieanleihe, schuldverschreibungen, wandelanleihe
Source: IuF Teil 1, Folie 15
12
Cardlink
0
Kernprinzipien der Finanzwirtschaft
Vorbemerkung: Typischerweise wird unterstellt, dass Menschen in ihrem eigenen besten Interesse handeln (rational)
Kernprinzipien:
1. Primat der Zahlungen Für eine Entscheidung sind allein Zahlungen (oder Zahlungsäquivalente) relevant.
2. Zeitwert des Geldes Der Wert einer Zahlung hängt davon ab, wann sie erfolgt.
3. Ertrag vs. Risiko Bei vielen Entscheidungen ist eine Abwägung zwischen Ertrag und Risiko zu treffen.
4. Aggregation durch Märkte Wertpapiermärkte aggregieren Präferenzen und Informationen.
5. Arbitragefreiheit Preise an kompetitiven Wertpapiermärkten zeichnen sich durch die Abwesenheit von Arbitrage aus.
Tags: finanzwirtschaft, kernprinzipien
Source: IuF Teil 1, Folie 16
13
Cardlink
0
Kernprinzipien: Details (1/2)
Erträge, Gewinne, etc. bleiben so lange fiktiv, bis sie sich in Zahlungen umsetzen.
Je früher eine Zahlung gegebener Höhe anfällt, desto wertvoller ist sie. Dies liegt unter anderem daran, dass eine frühere Zahlung höhere Wiederanlageerträge erbringt.
Die wenigsten Zahlungen aus Investitionen sind sicher.
Da Menschen typischerweise risikoavers sind, bewerten sie stärker mit Risiko behaftete Zahlungen ceteris paribus geringer.
Tags: kernprinzipien
Source: IuF Teil 1, Folie 17
14
Cardlink
0
Kernprinzipien: Details (2/2)
Die effektive Aggregation von Präferenzen durch Märkte ist ein zentrales Element der marktwirtschaftlichen Ordnung.
Märkte funktionieren nur dann gut, wenn sie kompetitiv sind.
In kompetitiven Märkten für riskante Wertpapiere ergibt sich dadurch ein “Preis für Risiko”.
Kompetitive Wertpapiermärkte aggregieren auch Informationen über die Qualität von Wertpapieren.
Wenn die Informationsaggregation in idealer Weise verläuft, spricht man von einem effizienten Markt.
Effiziente Märkte haben damit auch weitreichende Steuerungswirkungen.
Tags: kernprinzipien
Source: IuF Teil 1, Folie 18
15
Cardlink
0
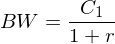
Einperiodige Verzinsung: Endwert
                            

Zahlung im Zeitpunkt 0
Zinssatz




  
Tags: einperiodige verzinsung, endwert
Source: IuF Teil 2, Folie 3
16
Cardlink
0
Einperiodige Verzinsung: Barwert
                        

                                     

| Zahlung in Jahr 1
Tags: Barwert, Einperiodige Verzinsung
Source: IuF Teil 2, Folie 4
17
Cardlink
0
Mehrperiodige Verzinsung: Endwert
                        

Investitionshorizont in Perioden


Zinseszinseffekt!
Tags: Endwert, Mehrperiodige Verzinsung
Source: IuF Teil 2, Folie 6
18
Cardlink
0
Mehrperiodige Verzinsung: Barwert
                         

| Zahlung zum Zeitpunkt
Tags: Barwert, Mehrperiodige Verzinsung
Source: IuF Teil 2, Folie 5
19
Cardlink
0
Unterjährige Verzinsung: Endwert
                           


| Investitionshorizont in Jahren
| Anzahl der unterjährigen Verzinsungen
Tags: Endwert, Unterjährige Verzinsung
Source: IuF Teil 2, Folie 9
20
Cardlink
0
Unterjährige Verzinsung: Effektiver Jahreszinssatz (1/2)
Bei unterjähriger Verzinsung verzinst sich das Investment effektiv zu einem anderen Zinssatz als dem angegebenen Jahreszinssatz (in diesem Fall auch als nominaler Jahreszinssatz bezeichnet), da ein Zinseszinseffekt innerhalb eines Jahres zusätzlich zum jährlichen Zinseszinseffekt existiert.
Dieser Zinssatz wird effektiver Jahresszinssatz genannt.
Er ist identisch mit dem jährlichen Zinssatz, bei dem derselbe Endwert nach demselben Investitionshorizont von T Perioden durch die jährliche Verzinsung derselben Investitionssumme entsteht.
Tags: Effektiver Jahreszinssatz, Unterjährige Verzinsung
Source: IuF Teil 2, Folie 10
21
Cardlink
0
Unterjährige Verzinsung: Effektiver Jahreszinssatz (2/2)

Damit ergibt sich

                                 

also

                                 
                                

                                


EW entspricht hier dem EW, der zuvor mit der unterjährigen Verzinsung ausgerechnet wurde
Tags: Effektiver Jahreszinssatz, Unterjährige Verzinsung
Source: IuF Teil 2, Folie 11
22
Cardlink
0
Stetige Verzinsung
Die stetige Verzinsung ist ein Spezialfall der unterjährigen Verzinsung, bei dem für eine jede infinitesimal kleine Zeiteinheit die Verzinsung stattfindet.

                     
                                      

Tags: Stetige Verzinsung
Source: IuF Teil 2, Folie 12
23
Cardlink
0
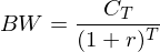
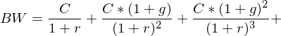
Mehrperiodige Zahlungsströme: Barwert 1/2
Die Summe der Barwerte jeder einzelnen Zahlung pro Periode ergibt den Barwert des gesamten Zahlungsstroms, wobei den Zinssatz pro Periode darstellt.


                                  
Tags: Barwert, Mehrperiodige Zahlungsströme
Source: IuF Teil 2, Folie 13
24
Cardlink
0
Mehrperiodige Zahlungsströme: Barwert 2/2

(Grafik)
Tags: Barwert, Mehrperiodige Zahlungsströme
Source: IuF Teil 2, Folie 14
25
Cardlink
0
Mehrperiodige Zahlungsströme: Endwert
                              
Tags: Endwert, Mehrperiodige Zahlungsströme
Source: IuF Teil 2, Folie 16
26
Cardlink
0
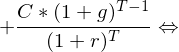
Kapitalwert einer Investition
Der Kapitalwert KW (Net Present Value, NPV) einer Investition ist die Summe der Barwerte der zukünftigen, mit der Investition verbundenen Zahlungen (ohne die Anfangsauszahlung der Investition) abzüglich der Anfangsauszahlung zur Initialisierung der Investition bei einem Investitionshorizont von Perioden:

           

Entscheidungsregel: Ist der Kapitelwert positiv, lohnt sich eine Investition
Tags: investition, kapitalwert
Source: IuF Teil 2, Folie 17
27
Cardlink
0
Rentenformeln: Ewige Rente
                         ...

                       
Tags: Ewige Rente, Rentenformeln
Source: IuF Teil 2, Folie 20
28
Cardlink
0
Rentenformeln: Endliche Rente
                         ...

                       
Tags: Endliche Rente, Rentenformeln
Source: IuF Teil 2, Folie 23
29
Cardlink
0
Rentenformeln: Ewige Rente mit konstantem Wachstum
                         ...

                       
Tags: Ewige Rente mit konstantem Wachstum, Rentenformeln
Source: IuF Teil 2, Folie 27
30
Cardlink
0
Rentenformeln: Endliche Rente mit konstantem Wachstum
                         ...

                       
Tags: Endliche Rente mit konstantem Wachstum, Rentenformeln
Source: IuF Teil 2, Folie 29
31
Cardlink
0
Fazit
Der Wert zukünftiger Zahlungen wird im Barwert bzw. Endwert verdichtet, indem sie mit einem Zinssatz auf den gegenwärtigen Zeitpunkt bzw. letzten Zahlungszeitpunkt diskontiert bzw. aufgezinst werden.
Der Kapitalwert einer Investition ist der Barwert derer Zahlungen abzüglich der Anfangsauszahlung.
Rentenformeln minimieren den Aufwand zur Berechnung spezieller Zahlungsströme.
Tags: abzinsen, aufzinsen, barwert, endwert, fazit, kapitalwert, rentenformeln
Source: IuF Teil 2, Folie 31
32
Cardlink
0
Methoden der Investitionsentscheidung / Capital Budgeting
Als Capital Budgeting wird der Entscheidungsprozess über die Durchführung von Investitionen bezeichnet.
Zur Unterstützung des Entscheidungsprozesses dienen folgende Methoden:
Kapitalwertmethode
Methode der Kapitalwertrate
Amortisationsrechnung
Rentabilitatsrechnung
Interne Zinssatzmethode
Tags: capital budgeting, investitionsentscheidung
Source: IuF Teil 3, Folie 2
33
Cardlink
0
Kapitalwert einer Investition
                                  

Der Zinssatz pro Periode, der in die Barwertberechnung eingeht,
bestimmt sich nach der Rendite pro Periode, für die ein bestimmtes Risiko, welches mit einer Investition unter Unsicherheit einhergeht, erwartet wird.

Diese erwartete risikoadjustierte Rendite kann sich an den
Opportunitatskosten fur das in der Investition gebundene Kapital orientieren und wird auch als Kapitalkostensatz bezeichnet.
Tags: kapitalkostensatz, kapitalwert
Source: IuF Teil 3, Folie 3
34
Cardlink
0
Kapitalwertmethode
Entscheidungsregel der Kapitalwertmethode: Führe die Investition durch, wenn deren Kapitalwert positiv ist.
In diesem Fall verdient das Projekt mindestens alle mit ihm verbundenen Auszahlungen und weist mindestens die erwartete riskoadjustierte Rendite pro Periode auf.
Tags: kapitalwertmethode
Source: IuF Teil 3, Folie 4
35
Cardlink
0
Kapitalwertmethode: Diskussion
Vorteile der Kapitalwertmethode:
Cashflows als Grundlage
Mehrperiodizitat
Berücksichtigung erwarterter risikoadjustierter Renditen
Es existiert folgendes Problem:
Ist das einzusetzende Kapital knapp und infolgedessen können nicht alle Projekte mit positivem Kapitalwert durchgeführt werden, liefert die Kapitalwertmethode keine Lösung des Auswahlproblems.
Lösunsmöglichkeit: Methode der Kapitalwertrate
Tags: kapitalwertmethode, kapitalwertrate
Source: IuF Teil 3, Folie 5
36
Cardlink
0
Methode der Kapitalwertrate 1/3
Die Kapitalwertrate KWR (Profitability Index) wird definiert als Quotient aus dem Barwert der mit der Investition verbundenen Auszahlungen (ohne die Anfangsauszahlung) und der Anfangsauszahlung:

                             


KWR bei Projekt 3:

Tags: kapitalwertrate
Source: IuF Teil3, Folie 6
37
Cardlink
0
Methode der Kapitalwertrate 2/3
Entscheidungsregel bei unabhängigen Projekten: Führe ein Projekt durch, wenn dessen Kapitalwertrate größer als 1 ist.
Danach können alle drei Projekte durchgeführt werden, wenn die Projekte voneinander unabhangig sind.
Tags: kapitalwertrate
Source: IuF Teil 3, Folie 7
38
Cardlink
0
Methode der Kapitalwertrate 3/3
Wenn das Kapital, welches in Form der Anfangsauszahlungen an alle unabhängigen Projekte zum Zeitpunkt 0 insgesamt investiert werden soll, nicht für die Anfangsauszahlungen aller Projekte ausreicht, werden die Projekte nach ihrer Kapitalwertrate absteigend priorisiert und nacheinander ausgewählt, solange das Kapital für das aktuell betrachtete und alle vorher selektierten Projekte ausreichend ist. Die Kapitalwertmethode hingegen kann in einem solchen Fall kein optimales Ergebnis liefern.
Wichtige Einschränkung: Die Methode funktioniert nur im Falle eines limitierten Kapitals für die Anfangsauszahlungen zum Zeitpunkt 0.
Im Beispiel bei einem maximal zur Verfügung stehenden Kapital von 10 Millionen werden demnach die Projekte 2 und 3 ausgewählt.
Tags: kapitalwertrate
Source: IuF Teil 3, Folie 8
39
Cardlink
0
Methode der Kapitalwertrate: Problem
Der Grund liegt in der unterschiedlichen Größenordnung der Anfangsauszahlungen beider Projekte, da die Kapitalwertrate Größenunterschiede nicht berücksichtigt.
Lösungsmöglichkeit des Problems: Betrachtung der durch das Projekt 1 zusätzlich zu Projekt 2 generierten Zahlungen als ein eigenes Projekt. Weist dieses Projekt eine Kapitalwertrate größer als 1 auf, ist Projekt 1 dem Projekt 2 vorzuziehen, wie es hier der Fall ist:

1-2 5 15 0 13,3929 2,6786 8,3929
Tags: kapitalwertrate
Source: IuF Teil 3, Folie 9
40
Cardlink
0
Amortisationsrechnung
Bei der Amortisationsrechnung (Payback Method) wird die Zeitspanne bestimmt, in der die Anfangsauszahlung (= ) eines Investitionsprojektes wieder in Form der durch das Projekt verbundenen kumulierten Zahlungen zürückgeflossen ist.
Für drei Projekte mit einem jeweiligen Horizont von 4 Jahren und folgenden Zahlungsströmen ergeben sich demnach die als Amortisationsdauer bezeichneten Zeitspannen AD: 3,3,3
Entscheidungsregel: Führe die Investitionsprojekte durch, die eine bestimmte maximale Amortisationsdauer aufweisen.
Bei einer gewünschten Amortisationsdauer von 3 Jahren sind demnach alle drei Projekte durchzuführen.

Tags: amortisationsdauer, amortisationsrechnung
Source: IuF Teil 3, Folie 10
41
Cardlink
0
Amortisationsrechnung: Diskussion 1/2
Vorteile der Amortisationsrechnung
Schnell und einfach anzuwendende Methode, besonders bei operational häufig auftretenden Enscheidungssituationen kleinerer Größenordnung.
Dient zur Managementbewertung in der Weise, dass Fehleinschätzungen des Managements in der Prognose des Zahlungsstroms mit Erreichen der Periode der gewünschten Amortisationsdauer offenbart werden, wenn zu diesem Zeitpunkt die kumulierten Zahlungen nicht die Anfangsauszahlung erreichen.
Besondere Eignung für Firmen, die keinen guten Zugang zu  apitalmärkten haben und durch diese Methode steuern können, dass ein schneller Kapitalrückfluss durch die Investitionsprojekte erreicht wird und sich so bessere Reinvestitionsmöglichkeiten eröffnen.
Tags: amortisationsrechnung
Source: IuF Teil 3, Folie 11
42
Cardlink
0
Amortisationsrechnung: Diskussion 2/2
Probleme bei der Amortisationsrechnung:
Keine Berücksichtigung des Zeitpunktes der Zahlungen, also der Präferenz von früheren gegenüber späteren Zahlungen: Im Beispiel werden Projekt 1 und 2 als gleichwertig nach der Amortisationsdauer gewertet, obwohl der Kapitalwert von Projekt 2 wegen seiner größeren anfänglichen Zahlungen den Kapitalwert des Projektes 1 (bei positivem Zinssatz) übertrifft.
Lösungsmöglichkeit: Betrachtung der Barwerte aller Zahlungen anstatt der Zahlungen selbst bei der Bestimmung der Amortisationsdauer
Keine Berücksichtigung von Zahlungen nach der Amortisationsdauer: Projekt 3 hat denselben Rang wie Projekt 2, obwohl nach der Amortisationsdauer im vierten Jahr Projekt 3 eine viel größere Zahlung aufweist.
Willkürliche Bestimmung der gewünschten Amortisationsdauer.
Tags: amortisationsdauer, amortisationsrechnung
Source: IuF Teil 3, Folie 12
43
Cardlink
0
Rentabilitätsrechnung
Rentabilitätskennzahlen als Ergebnis der Rentabilitätsrechnung setzen beispielweise in Form der Kapitalrentabilität KR eine Ergebnisgröße E ins Verhältnis zu einer Kapitalgröße K:

                               

Dabei ist auf die Konsistenz der beiden Größen, d.h. welche
Ergebnisgröße passt zu welcher Kapitalgröße, zu achten:
Wird im Nenner das Eigenkapital gewählt, muss im Zähler der Gewinn nach Zinsen stehen. Diese Rentabilität heißt Eigenkapitalrentabilität.

Wird im Nenner das Gesamtkapital (Eigen- und Fremdkapital)
berücksichtigt, wird im Zähler der Gewinn vor Fremdkapitalzinsen eingesetzt. Diese Rentabilität wird als Gesamtkapitalrentabilität bezeichnet.


Entscheidungsregel: Führe ein Investitionsprojekt durch, wenn seine Kapitalrentabilität größer als die gewünschte Rentabilität ist.
Tags: eigenkapitalrentabilität, gesamtkapitalrentabilität, kapitalrentabilität, rentabilität, rentabilitätsrechnung
Source: IuF Teil 3, Folie 13
44
Cardlink
0
Durchschnittliche Kapitalrentabilität
Die durchschnittliche Kapitalrentabilität (DKR) eines bestimmten
Zeithorizonts ist definiert als Quotient aus dem durchschnittlichen Gewinn nach Steuern und Abschreibungen (DG) und dem durchschnittlich gebundenen, zu Buchwerten angesetzten Kapital (DK) innerhalb dieses Zeithorizonts:

                                   
Tags: durchschnittliche kapitalrentabilität
Source: IuF Teil 3, Folie 14
45
Cardlink
0
Durchschnittliche Kapitalrentabilität: Diskussion
Vorteile
Einfache Berechnung
Verfügbarkeit der Inputgrößen uber das Rechnungswesen
Große Beachtung durch Medien und Aktionäre
Gute Eignung zur Vergleichsrechnung verschiedener Investitionsprojekte


Nachteile
Abhängigkeit von Bilanzierungsregeln und -politik wegen Buchwerten und Ergebnisgröße anstatt Zahlungen
Keine Berücksichtigung der zeitlichen Verteilung der Ergebnisgrößen
Willkürlichkeit bei der Wahl der geforderten Mindestrentabilität
Tags: Durchschnittliche Kapitalrentabilität
Source: IuF Teil 3, Folie 17
46
Cardlink
0
Interne Zinssatzmethode
Der interne Zinssatz ist derjenige Zinssatz, bei dem der Kapitalwert einer Investition 0 beträgt
Er stellt demnach die Verzinsung des in dem Investitionsprojekt gebundenen Kapitals und damit eine das gesamte Projekt zusammenfassende Kennzahl dar.
Entscheidungsregel der internen Zinssatzmethode (IZSM) bei einem normalen Investitionsprojekt: Investiere in ein Investitionsprojekt, wenn dessen interner Zinssatz höher als der geforderte Zinssatz ist.
Tags: Interne Zinssatzmethode
Source: IuF Teil 3, Folie 18
47
Cardlink
0
IZSM: Diskussion
Vorteile
Eine einzige und einfach zu kommunizierende Kennzahl als Diskussionsgrundlage bei dem Vergleich mehrerer Investitionsprojekte.
Berücksichtigung von mehrperiodischen Zahlungen


Nachteile
Probleme der internen Zinssatzmethode werden bei der Betrachtung eines einzelnen unabhängigen Projektes sowie zweier sich ausschließender Projekte offensichtlich.
Als genereller Nachteil ist die schwierige Berechnung des internen Zinssatzes, besonders bei sehr langen Projekten, zu nennen.
Tags: interne zinssatzmethode
Source: IuF Teil 3, Folie 21
48
Cardlink
0
IZSM: Problem bei einem einzelnen Projekt

(Lesen)
Tags: interne zinssatzmethode
Source: IuF Teil 3, Folie 21
49
Cardlink
0
IZSM: Problem bei einem einzelnen Projekt
Da der Kapitalwert zwischen den beiden internen Zinssätzen positiv ist, kann nach Kapitalwertmethode die  Entscheidungsregel lauten:

Investiere, wenn der geforderte Zinssatz für den Kapitalwert zwischen 10% und 20% liegt.
Tags: Interne Zinssatzmethode
Source: IuF Teil 3, Folie 23
50
Cardlink
0
IZSM: Sich gegenseitig ausschließende Projekte
Problem 1/2
Tags: Interne Zinssatzmethode
Source: IuF Teil 3, Folie 24
51
Cardlink
0
IZSM: Sich gegenseitig ausschließende Projekte
Problem 1/2
Hier werden beispielweise die Zahlungen des Projekts 2 von den
Zahlungen des Projekts 1 abgezogen
und der daraus resultierende Zahlungsstrom als normales zusätzliches  Investitionsprojekt 1-2 gesehen:

1-2 -7 10 42,86% 1,3333


Ist dieses Projekt anzunehmen, ist auch das Projekt 1 anzunehmen.

Nach interner Zinssatzmethode bei einem geforderten Zinssatz von 20% ist wegen eines höheren internen Zinssatzes des zusätzlichen Investitionsprojektes 1-2 das Projekt 1 zu wählen. Nach Kapitalwertmethode ergibt sich wegen des positiven Kapitalwerts von Projekt 1-2 dieselbe Entscheidung.
Tags: Interne Zinssatzmethode
Source: IuF Teil 3, Folie 25
52
Cardlink
0
IZSM: Sich gegenseitig ausschließende Projekte
Problem 2/2
Tags: Interne Zinssatzmethode
Source: IuF Teil 3, Folie 26
53
Cardlink
0
IZSM: Sich gegenseitig ausschließende Projekte
Problem 2/2
Bei einem Zinssatz von 12,50% herrscht Indifferenz über die Vorteilhaftigkeit eines Projektes über das andere.
Ist der Zinssatz kleiner als 12,50% ist das Projekt 2 vorzuziehen; ist der Zinssatz größer als 12,50% und kleiner als 35,62%, dann ist Projekt 1 zu präferieren.
Die Abhängigkeit von dem gefordeten Zinssatz resultiert aus der zeitlichen Verteilung der Zahlungen beider Projekte. Während Projekt 1 anfänglich hohe und später niedrige Zahlungen generiert, sind die Zahlungen von Projekt 2 am Anfang niedrig und enden hoch. Hohe Zinssätze beispielsweise bedeuten eine hohe Wiederanlage früherer Zahlungen und begünstigen daher Projekt 1.
Tags: Interne Zinssatzmethode
Source: IuF Teil 3, Folie 28
54
Cardlink
0
IZSM: Sich gegenseitig ausschließende Projekte
Problem 2/2

Lösung des Timing-Problems?

=>

Der IZS...

=> Wenn der IZS...
=> wie bei Problem 1.

Der IZS dieses Projektes (2-1) entspricht dann dem Zinssatz, bei dem nach der Kapitalwertmethode Indifferenz zwischen den Projekten besteht.

=> Wenn der IZS über dem geforderten Zinssatz liegt, ist das Projekt 2-1 anzunehmen, also auch das Projekt 2! Dies deckt sich auch mit der Kapitalwertmethode, da der Kapitalwert unter 12,50% postitiv ist!
Tags: Interne Zinssatzmethode
Source: IuF Teil 3, Folie 27,29,30
55
Cardlink
0
Arbitrage und die Bewertung von Wertpapieren

Arbitrage
Das Ausnutzen unterschiedlicher Preise für äquivalente Güter auf unterschiedlichen Märkten bezeichnet man als Arbitrage.
Konkret bezeichnet man als Arbitragegelegenheit jede Situation, in der es möglich ist, einen sicheren Gewinn ohne eigene Investition zu erzielen.
Wird eine Arbitragegelegenheit entdeckt, werden Marktteilnehmer eine solche ausnutzen und am Markt handeln. Daher werden die Marktpreise sich schnell anpassen und die Arbitragegelegenheit eliminieren.
Einen Finanzmarkt, auf dem keine Arbitragegelegenheiten existieren, bezeichnen wir hier als normalen Markt.
Tags: arbitrage, arbitragegelegenheit, normaler markt
Source: IuF Teil 4, Folie 3
56
Cardlink
0
Bewertung eines Wertpapiers mit sicheren Zahlungen 1/5
Der Betrag entspricht genau dem Barwert von €1000:

                              
Tags: bewertung, wertpapier
Source: IuF Teil 4, Folie 4
57
Cardlink
0
Bewertung eines Wertpapiers mit sicheren Zahlungen 2/5
Es gibt also demzufolge zwei Wege, die Zahlung von €1.000 in einem Jahr zu erhalten: (1) durch den Kauf des Wertpapiers oder (2) durch die Anlage von €952, 38 zum risikolosen Zinssatz. 
Die Behauptung ist nun, dass der Preis für das Wertpapier in einem normalen Markt €952,38 betragen muss.
Tags: bewertung, wertpapier
Source: IuF Teil 4, Folie 5
58
Cardlink
0
Bewertung eines Wertpapiers mit sicheren Zahlungen 3/5

Angenommen, der Preis betrüge €940. Welche Arbitragegelegenheit ergibt sich in diesem Fall?
Wir können das Wertpapier kaufen und gleichzeitig einen Kredit in Höhe von €952,38 aufnehmen!

/ Zahlung Heute Zahlung in einem Jahr
Kaufe die Anleihe -940,00 +1000,00
Leihe Geld von der Bank +952,38 -1000,00
Netto-Zahlung +12,38 0,00


Eine solche Strategie ermöglicht eine Zahlung von €12,38, ohne zu
einer zukünftigen Auszahlung zu führen.
Tags: bewertung, wertpapier
Source: IuF Teil 4, Folie 6
59
Cardlink
0
Bewertung eines Wertpapiers mit sicheren Zahlungen 4/5
In diesem Fall können wir das Wertpapier (leer)verkaufen und einen Betrag von €952,38 zum risikolosen Zinssatz anlegen.

/ Zahlung Heute Zahlung in einem Jahr
Verkaufe die Anleihe +960,00 -1000,00
Lege Geld bei der Bank an -952,38 +1000,00
Netto-Zahlung +7,62 0,00


Dies führt zu einem aktuellen Mittelzufluss von €7,62, dem kein zukünftiger Mittelabfluss gegenübersteht.

Bemerkung: Wenn wir das Wertpapier ursprünglich nicht besitzen, spricht man von einem Leerverkauf.
Tags: bewertung, leerverkauf, wertpapier
Source: IuF Teil 4, Folie 7
60
Cardlink
0
Bewertung eines Wertpapiers mit sicheren Zahlungen 5/5
Martktteilnehmer, die Arbitragegelegenheiten entdecken, kaufen bzw. verkaufen das Wertpapier, so dass sich dessen Preis verändert und schnell den Wert von €952, 38 erreicht und die Arbitragegelegenheit verschwindet.
Diesen Preis bezeichnet man auch als “No-Arbitrage-Preis”.
Die Abwesenheit von Arbitragegelegenheiten in normalen Märkten impliziert, dass dort das so genannte Gesetz des einen Preises gilt.
Das Gesetz des einen Preises besagt, dass zahlungsäquivalente Wertpapiere, die in verschiedenen normalen Märkten gehandelt werden, den gleichen Preis besitzen müssen.
Tags: arbitragegelegenheit, bewertung, gesetz des einen preises, no-arbitrage-preis, normaler markt, wertpapier
Source: IuF Teil 4, Folie 8
61
Cardlink
0
Der Kapitalwert von Wertpapieren


In einem normalen Markt ist der Kapitalwert einer solchen Investition gleich null.
Tags: kapitalwert, wertpapier
Source: IuF Teil 4, Folie 9
62
Cardlink
0
Die Bewertung von Portfolios
Das Gesetz des einen Preises impliziert, dass Wertpapier C und das Portfolio aus A und B den gleichen Preis aufweisen müssen:

            

Die Beziehung zwischen des Wertes der einzelnen Wertpapiere eines Portfolios und dem Portfoliowert bezeichnet man als Wertadditivität.
Tags: bewertung, portfolio, wertadditivität
Source: IuF Teil 4, Folie 10
63
Cardlink
0
Risikobehaftete versus risikolose Zahlungen

(lesen)
risikoloser Zinssatz: 4%
Tags: Risikobehaftete zahlungen, risikolose Zahlungen
Source: IuF Teil 4, Folie 11,12,13
64
Cardlink
0
Risikoaversion
Intuitiv gesprochen zahlen Investoren weniger für einen risikobehafteten Zahlungsstrom als für einen sicheren, weil sie Risiko scheuen, d.h. der Verlust eines Euro wiegt schwerer als der Gewinn eines Euro.
Im konkreten Fall ist der Vorteil zusätzlicher €300 (1.400 versus 1.100) weniger vorteilhaft als der Nachteil geringerer €300 (800 versus 1.100).
Das Konzept, dass Menschen sichere Zahlungen gegenüber unsicheren mit gleichem Erwartungswert bevorzugen, bezeichnet man als Risikoaversion.
Der Grad der Risikoaversion ist Bestandteil persönlicher Präferenzstrukturen.
Je höher der Grad der Risikoaversion, desto weniger ist ein Investor bereit, für einen risikobehafteten Zahlungsstrom relativ zu einem sicheren gleichen Erwartungswert zu zahlen.
Tags: risikoaversion
Source: IuF Teil 4, Folie 14
65
Cardlink
0
Risikoaversion und Risikoprämie 1/2
Aufgrund der Risikoaversion von Investoren ist es bei der Berechnung des Barwerts risikobehafteter Zahlungsströme unzulässig, den risikolosen Zinssatz zu verwenden.

Auf Basis der erwarteten Zahlungen des Indexinvestment ergibt sich
eine Verzinsung von:

                    

Man spricht bei Verwendung von Zahlungserwartungswerten von
erwarteter Verzinsung oder erwarteter Rendite.
Tags: erwartete rendite, erwartete verzinsung, risikoaversion, risikoprämie
Source: IuF Teil 4, Folie 15
66
Cardlink
0
Risikoaversion und Risikoprämie 2/2
Tatsächliche Rendite bei positiver wirtschaftlicher Entwicklung:

          

Tatsächliche Rendite bei negativer wirtschaftlicher Entwicklung:

          

Die erwartete Rendite lässt sich auch als Erwartungswert der tatsächlichen Renditen berechnen:

Die Differenz von 6% bezeichnet man als die Risikoprämie der Investition in den Aktienindex.
Tags: erwartete rendite, risikoaversion, risikoprämie
Source: IuF Teil 4, Folie 16
67
Cardlink
0
Der No-Arbitrage-Preis eines riskanten Wertpapiers 1/2
Gegeben die Preise für das risikolose Wertpapier und die Indexinvestition, lassen sich die No-Arbitrage-Preise anderer risikobehafteter Wertpapiere bestimmen.
Eine Kombination des risikolosen Wertpapiers mit Wertpapier A erlaubt es, einen Zahlungsstrom zu generieren, der mit dem der Indexinvestition identisch ist
Tags: no-arbitrage-preis, riskantes wertpapier
Source: IuF Teil 4, Folie 17
68
Cardlink
0
Der No-Arbitrage-Preis eines riskanten Wertpapiers 2/2
Nach dem Gesetz des einen Preises muss der gemeinsame Marktwert der Position des risikolosen Wertpapiers und des Wertpapiers A mit dem Preis der Indexinvestition übereinstimmen.
Die Position des risikolosen Wertpapiers bei einem risikolosen Zinssatz von 4% hat einen No-Arbitrage-Preis von €769.
Demzufolge beträgt der No-Arbitrage-Preis von Wertpapier A :                               1000-769 = 231
Dies impliziert eine erwartete Rendite von 30% und eine Risikoprämie von 26%.
Tags: No-Arbitrage-Preis, riskantes Wertpapier
Source: IuF Teil 4, Folie 18
69
Cardlink
0
Bewertung von Wertpapieren (Zusammenfassung)
Wenn die Zahlungen des betrachteten Wertpapiers durch existierende Wertpapiere vollständig nachgebildet werden können, so ist dessen Wert durch das Gesetz des einen Preises bestimmt.
Wenn die Zahlungen des Wertpapiers nicht durch existierende Wertpapiere nachgebildet werden können, bestimme die erwarteten Zahlungen an jedem Zeitpunkt und diskontiere diese mit dem Zinssatz, der die Risikoprämie korrekt abbildet.
Tags: bewertung, risikoprämie, wertpapier. erwartete zahlungen
Source: IuF Teil 4, Folie 19
70
Cardlink
0
Bewertung risikoloser Anleihen: Zerobonds 1/2
Als risikolose Anleihen werden diejenigen bezeichnet, deren
Zahlungsstrom sicher ist.


Die Anleihen mit der einfachsten Zahlungsstruktur sind Zerobonds
(Nullkuponanleihen), deren einzige Zahlung die Rückzahlung des
Nennwerts bei Fälligkeit
der Anleihe ist.

Die Beziehung zwischen Preis und internem Zinssatz eines Zerobond mit Fälligkeit zum Zeitpunkt lässt sich ausdrücken als:

                                

Tags: bewertung, risikolose anleihe, zerobond
Source: IuF Teil 4, Folie 20
71
Cardlink
0
Bewertung risikoloser Anleihen: Zerobonds 2/2
Nimmt man beispielsweise den Preis als gegeben an, kann man den
internen Zinssatz der Anleihe ermitteln
. Der interne Zinssatz einer
Anleihe wird typischerweise als dessen Yield to Maturity (oder
verkürzt als Yield), y, bezeichnet. Es gilt:

                                
72
Cardlink
0
Bewertung risikoloser Anleihen: Kuponanleihen 1/2
Bei Kuponbonds fallen außer der Rückzahlung des Nennwertes
zwischenzeitliche Zinszahlungen an (die Kupons).

Mit Hilfe des aus Zerobonds ermittelten risikolosen Zinssatzes lässt
sich ein risikoloser Kuponbond nach dem Gesetz des einen Preises bestimmen.

Beispiel: a) Bestimmen Sie den arbitragefreien Preis, , einer zweijährigen Anleihe mit Nennwert 100 und einem jährlichen Kupon von 10% bei einem risikolosen Zinssatz von 5%.

                   

Tags: bewertung, kuponanleihe, risikolose anleihe, zerobond
Source: IuF Teil 4, Folie 23
73
Cardlink
0
Bewertung risikoloser Anleihen: Kuponanleihen 2/2

1. Nehmen sie an, der beobachtete Preis betrage 110. Zeigen Sie eine Strategie auf, die zu einem Arbitragegewinn führt
(Es existieren ein einjähriger und ein zweijähriger Zerobond, die jeweils einen Yield von 5% und einen Nennwert von 100 besitzen.)


2. Während Zerobonds unterhalb ihres Nennwerts notieren, ...
Tags: bewertung, kuponanleihe, kuponbond, riskolose anleihe, zerobond
Source: IuF Teil 4, Folie 24
74
Cardlink
0
Dynamischer Verlauf von Anleihepreisen
                         


Bei Betrachtung von Zeitpunkten kurz nach einer Kuponzahlung gilt
folgendes:


Bei konstantem risikolosem Zinssatz fallen im Zeitablauf diejenigen Anleihen im Wert, deren arbitragefreie Preise über dem Nennwert liegen.

Umgekehrt steigen bei konstantem risikolosem Zinssatz im Zeitablauf diejenigen Anleihen im Wert, deren arbitragefreie Preise unter dem Nennwert liegen.
Tags: dynamischer verlauf von anleihepreisen, kuponzahlung
Source: IuF Teil 4, Folie 25
75
Cardlink
0
Bewertung von Aktien
Der von einer Aktie generierte Zahlungsstrom ist unsicher.
Eine Duplikation des Zahlungsstroms mit anderen Wertpapieren (außer den eigenen sogenannten Derivaten) ist unwahrscheinlich.
Daher wenden wir für die Aktienbewertung die Methode der Diskontierung der bei einem Aktieninvestment erwarteten Zahlungen an.
An dieser Stelle konzentrieren wir uns auf die Bestimmung der erwarteten Zahlungen
Tags: aktien, bewertung
Source: IuF Teil 4, Folie 27
76
Cardlink
0
Aktienbewertung: Investorin mit Einjahreshorizont
Zum einen entstehen Zahlungen, wenn das Unternehmen während der Haltedauer Dividenden ausschüttet. Zum anderen entsteht ein Mittelzufluss, wenn die Investorin sich entscheidet, die Aktien zu veräußern.
Betrachten wir hier eine Investorin mit einem Anlagehorizont von einem Jahr. Wenn es zu einer Dividendenzahlung während des Jahres kommt, dann erfolgt diese am Ende des Anlagezeitraums.
Die Zahlungen aus dem Investment sind die Auszahlung beim Erwerb in Zeitpunkt 0, sowie die Einzahlungen nach einem Jahr in Form des Veräußerungspreises, , plus evtl. einer Dividende, .
Tags: aktien, bewertung
Source: IuF Teil 4, Folie 28
77
Cardlink
0
Aktienbewertung: Dividend Discount Model 1/2
Als Bewertungsgleichung ergibt sich, wenn der adäquate, das Risiko
berücksichtigende Diskontierungssatz beträgt:

                               

Die Investorin muss also sowohl die erwartete Dividende als auch den erwarteten Veräußerungspreis bestimmen.

Der Veräußerungspreis bestimmt sich aus dem Kalkül eines anderen Investors, dessen Bewertungsgleichung lautet:

                              

Damit wird die Gleichung der ursprünglichen Investorin zu:

  
Tags: aktie, bewertung, Dividend Discount Model
Source: IuF Teil 4, Folie 29
78
Cardlink
0
Aktienbewertung: Dividend Discount Model 2/2
Durch weitere Anwendung dieser Logik ergibt sich der Wert einer
Aktie
als:

      

Dies bedeutet, dass der Preis einer Aktie sich ergibt als Barwert aller erwarteten Dividendenzahlungen.

Insbesondere impliziert dieses Resultat, dass der Anlagehorizont für den Wert einer Aktie unerheblich ist. Da bei Veräußerung immer ein Käufer gefunden werden muss, sind in jedem Fall die gesamten zukünftigen Zahlungen einer Aktie für deren Bewertung relevant.
Tags: aktie, bewertung, dividend discount model
Source: IuF Teil 4, Folie 30
79
Cardlink
0
Ertrag und Risiko im Gleichgewicht
Gleichgewichtstheorie (CAPM)
Portefeuille-Theorie als Fundament der modernen Kapitalmarkttheorie

                            Abwägen zwischen Ertrag und Risiko

Ökonomische Idee: Durch Erwerb verschiedener Aktien kann Risikominderung (Diversifikation) erreicht werden.


Was passiert, wenn alle Investoren gemäß obiger Theorie agieren?

Gleichgewichtstheorie (CAPM), die Zusammenhang zwischen
Risiko und
angemessener erwarteter Rendite

liefert, D.h. zentrales Ergebnis der Theorie

                        „fairer“ Preis für übernommenes Risiko
Tags: capm, ertrag, erwartete rendite, gleichgewichtstheorie, risiko
Source: IuF Teil 5, Folie 3
80
Cardlink
0
Renditen
Rendite (in €): Dividendenzahlung zuzüglich der Veränderung des Vermögenswertes ausgedrückt in Geldeinheiten




Prozentuale Rendite: Dividendenzahlung zuzüglich der Veränderung des Vermögenswertes bezogen auf den anfänglichen Vermögenswert (= Investitionssumme)

Tags: renditen
Source: IuF Teil 5, Folie 4
81
Cardlink
0
Halteperiode Rendite
Halteperiode Rendite: Rendite die der Investor erhält, wenn er eine Investition über eine Periode von Jahren hält, wobei die Rendite für jedes Jahr mit gegeben ist!

       

Geometrisch durchschnittliche Rendite ():

                

Arithmetisch durchschnittliche Rendite ():

                       
Tags: halteperiode rendite
Source: IuF Teil 5, Folie 5
82
Cardlink
0
Rendite- und Risiko-Statistiken
Durchschnittliche Rendite:

                

Standardabweichung der Renditen:

               

(eigentlich ist das ja s* und nicht )

In der Literatur werden für die Risikomaße häufig die Varianz und Standardabweichung der Renditen herangezogen.
Tags: rendite, risiko, statisiken
Source: IuF Teil 5, Folie 7
83
Cardlink
0
Einzelne Wertpapiere: Erwartete Rendite und Risiko

Gesucht: erwartete Renditen und Risiko (Standardabweichung ) der Renditen
= 1/3 * (-7%) + 1/3 * 12% + 1/3 * 28% =  11%
= 1/3 * 17% + 1/3 * 7% + 1/3 * (-3%) = 7%

= 1/3 * (−7%−11%)² + 1/3 * (12%−11%)² + 1/3 * (28%−11%)² = 0,0205 
=>
= 1/3 * (17%-7%)² + 1/3 * (7%-7%)² + 1/3 * (-3%-7%)² = 0,0067
=>


Szenario W'keit Aktienfonds Rentenfonds
Rezession 1/3 -7% 17%
Normal 1/3 12% 7%
Boom 1/3 28% -3%
- 11% 7%
- 14,3% 8,2%
Tags: einzelne wertpapiere, erwartete rendite, risiko
Source: IuF Teil 5, Folie 10,11,12
84
Cardlink
0
Portfeuilles
Investoren betrachten nicht das isolierte Ergebnis einzelner
Wertpapiere sondern das Ergebnis ihres Portefeuilles.

Im Folgenden Portefeuilles aus zwei Wertpapieren:

Portfeuillerendite: gewichtete Summe der Einzelrenditen

                     

mit Portfeuilleanteilen

                    
Tags: portfeuilleanteil, portfeuillerendite, portfeuilles, portfolio
Source: IuF Teil 5, Folie 13
85
Cardlink
0
Portefeuilles: Portefeuilleanteile



Stückzahl der Aktie
Aktienkurs der Aktie

Wert des Portfeuilles:

                         

Portefeuilleanteile:

                         

                         
Tags: Portefeuilleanteile, Portefeuilles
Source: IuF Teil 5, Folie 14
86
Cardlink
0
Portefeuilles: Erwartungswert der Portefeuillerendite
                            

Erwartete Portefeuillerendite entspricht der gewichteten Summe der erwarteten Renditen der im Portefeuille enthaltenen Wertpapieren.
Gewichtung erfolgt mit Portefeuilleanteilen
Tags: Erwartungswert, Portefeuillerendite, Portefeuilles
Source: IuF Teil 5, Folie 15
87
Cardlink
0
Portefeuilles: Risiko der Portefeuillerendite
   

Achtung: Varianz der Portefeuillerendite ergibt sich nicht einfach als gewichtete Summe der einzelnen Varianzen. Kovarianz spielt wichtige Rolle.

Kovarianz der Renditen:

                       

mit der Korrelation der Einzelrenditen


Zur Erinnerung


Tags: Portefeuillerendite, Portefeuilles, Risiko
Source: IuF Teil 5, Folie 16
88
Cardlink
0
Portefeuilles: Beispiel

Beispiel 1 (Fortsetzung): Betrachte nun Portefeuille, das zu aus Aktien und zu aus Anleihen besteht


Portefeuillerendite:

                
                                               
                 

Rezession: 5%, Normal: 9,5%, Boom: 12,5%


erwartete Portefeuillerendite:


               
                              
            

Varianz der Portefeuillerendite:

              

                                    
                                       










Tags: portefeuilles
Source: IuF Teil 5, Folie 17,18,19,20
89
Cardlink
0
.
!
90
Cardlink
0
Portefeuilles: erreichbare Rendite/Risiko-Kombinationen

(anschauen)
Tags: Kombinationen, Portefeuilles, Rendite, Risiko
Source: IuF Teil 5, Folie 21
91
Cardlink
0
Portefeuilles: erreichbare Rendite/Risiko-Kombinationen
Einfluss des Korrelationskoeffizienten auf Ausmaß der Diversifikationsmöglichkeiten
: Keine Risikoreduktion möglich
: Risiko kann vollständig eliminiert werden


Grafik:

oben links:
mitte rechts:
Kurve:
Tags: Kombinationen, Portefeuilles, Rendite, Risiko
Source: IuF Teil 5, Folie 22
92
Cardlink
0
Portefeuilles: erreichbare Rendite/Risiko-Kombinationen

* Linie charakterisiert.....
* Portefeuille mit kleinster Varianz: ...

Welches Portefeuille soll Investor wählen?

Linie charakterisiert erreichbare Portefeuilles
Portefeuille mit kleinster Varianz: Minimum Varianz Portefeuille
%
Portefeuilles oberhalb des MVP sind effizient (Effizienter Rand).
Investor wählt effizientes Portefeuille
Konkrete Wahl hängt von Risikoneigung ab
Tags: Kombinationen, Portefeuilles, Rendite, Risiko
Source: IuF Teil 5, Folie 23,24
93
Cardlink
0
Portefeuilles: erreichbare Rendite/Risiko-Kombinationen mit
risikolosem Wertpapier
Portefeuillerendite:
Erwartete Rendite:
Risiko:
Tags: Kombinationen, Portefeuilles, Rendite, Risiko, risikoloses Wertpapier
Source: IuF Teil 5, Folie 25
94
Cardlink
0
Portefeuilles: erreichbare Rendite/Risiko-Kombinationen mit
risikolosem Wertpapier

Investor hält Kombination aus
*
*

Effiziente Portefeuilles....
Tags: Kombinationen, Portefeuilles, Rendite, Risiko, risikoloses Wertpapier
Source: IuF Teil 5, Folie 26
95
Cardlink
0
Portefeuilles: erreichbare Rendite/Risiko-Kombinationen mit
risikolosem Wertpapier
Portefeuille A Investor (sehr risikoavers) investiert Teil seines Vermögens in risikoloses Instrument und Teil in Tangentialportefeuille
Portefeuille B Investor (weniger risikoavers) verschuldet sich risikolos und investiert alles in Tangentialportefeuille
Tags:
Source: IuF Teil 5, Folie 27
96
Cardlink
0
Capital Asset Pricing Model (CAPM): Annahme des CAPM
a) Investoren
sind einperiodige Optimierer (gemäß Portefeuilletheorie)
besitzen die gleichen Erwartungen _ij
b) Kapitalmärkte
sind friktionslos
bestehen aus N verschiedenen Aktien mit festem Angebot und
einem risikolosen Instrument
Tags: CAPM
Source: IuF Teil 5, Folie 29
97
Cardlink
0
Vom Individualkalkül zum Gleichgewicht
Zusammensetzung des Tangentialportefeuilles für alle Investoren identisch
Aufteilung zwischen Tangentialportefeuille u. risikolosem Instrument investorspezifisch


Bsp:

Investment i Investor 1: Portefeuilleanteil Investor 2: Portefeuilleanteil
risikolos 50% 0%
riskant
Aktie A 30% 60%
Aktie B 20% 40%
Tags: Gleichgewicht, Individualkalkül
Source: IuF Teil 5, Folie 32
98
Cardlink
0
Vom Individualkalkül zum Gleichgewicht

Aus Individualkalkül ergibt sich Nachfrage der beiden Investoren in € (in Stück)

Bsp. Anfangsvermögen der Investoren je 1.000 €
Aktienkurse in t = 0: €,
Tags: Gleichgewicht, Individualkalkül
Source: IuF Teil 5, Folie 37
99
Cardlink
0
Vom Individualkalkül zum Gleichgewicht


Was passiert nun?
Anpassung der Kurse heute derart, dass Markträumung stattfindet.

d.h. und bis jeweils Gesamtnachfrage = Angebot

Ergebnis nach Anpassung: Jeder Investor legt sein riskantes Vermögen in der gleichen Zusammensetzung wie das Marktportefeuille an.
Tags: Gleichgewicht, Individualkalkül
Source: IuF Teil 5, Folie 38
100
Cardlink
0
Effiziente Portefeuilles im Gleichgewicht
erwartete Rendite risikolose Rendite Preis pro Einheit Risiko Risikomenge


Alle effizienten Portefeuilles liegen auf einer Geraden, der Kapitalmarktlinie
Tags: effiziente portefeuilles, gleichgewicht, kapitalmarktlinie
Source: IuF Teil 5, Folie 39
101
Cardlink
0
Die Kapitalmarktlinie: effiziente Portefeuilles im
Gleichgewicht
Jeder Investor legt sein riskantes Vermögen in der gleichen Zusammensetzung wie das Marktportefeuille an.
Die risikolose Komponente wird durch den Grad der individuellen Risikoaversion bestimmt
Der Marktpreis des Risikos gibt an, wieviel zusätzliche Rendite im Gleichgewicht für eine Einheit zusätzlichen Risikos zu erwarten ist
Einziges effizientes (reines) Aktienportefeuille ist das Marktportefeuille.
Tags: effiziente Portefeuilles, Gleichgewicht, Kapitalmarktlinie
Source: IuF Teil 5, Folie 40
102
Cardlink
0
Was ist mit einzelnen Aktien und ineffizienten Portefeuilles?

Ökonomische Idee:
nur Risiko des Marktportefeuilles wichtig!
auch für einzelnes Wertpapier ist nur Beitrag zum Risiko des Marktportefeuilles relevant

Lineare Rendite/Risiko-Beziehung bleibt erhalten, aber Risiko wird nun anders gemessen!

                                    


mit Beta-Faktor


                 
Tags: einzelne Wertpapiere, Gleichgewicht, Wertpapiermarktlinie
Source: IuF Teil 5, Folie 41
103
Cardlink
0
Zerlegung des Gesamtrisikos
                                                    
                                                       
Tags: einzelne Wertpapiere, Gleichgewicht, Risiko, Wertpapiermarktlinie
Source: IuF Teil 5, Folie 43
Flashcard set info:
Author: sundance
Main topic: BWL
Topic: Unternehmensführung
School / Univ.: KIT
City: Karlsruhe
Published: 12.04.2010
 
Card tags:
All cards (103)
abzinsen (1)
aktie (4)
aktien (4)
amortisationsdauer (2)
amortisationsrechnung (3)
arbitrage (1)
arbitragegelegenheit (2)
aufzinsen (1)
Barwert (4)
barwert (1)
bewertung (15)
capital budgeting (1)
CAPM (1)
capm (1)
commercial paper (1)
covenants (1)
Dividend Discount Model (1)
dividend discount model (1)
durchschnittliche kapitalrentabilität (1)
Durchschnittliche Kapitalrentabilität (1)
dynamischer verlauf von anleihepreisen (1)
Effektiver Jahreszinssatz (2)
effiziente portefeuilles (1)
effiziente Portefeuilles (1)
eigenkapital (1)
eigenkapitalrentabilität (1)
einperiodige verzinsung (1)
Einperiodige Verzinsung (1)
einzelne wertpapiere (1)
einzelne Wertpapiere (2)
Endliche Rente (1)
Endliche Rente mit konstantem Wachstum (1)
endwert (2)
Endwert (3)
ertrag (1)
erwartete rendite (4)
erwartete verzinsung (1)
Erwartungswert (1)
Ewige Rente (1)
Ewige Rente mit konstantem Wachstum (1)
fazit (1)
finanzierung (2)
finanzwirtschaft (1)
fremdkapital (1)
gesamtkapitalrentabilität (1)
gesetz des einen preises (1)
Gleichgewicht (6)
gleichgewicht (1)
gleichgewichtstheorie (1)
halteperiode rendite (1)
Individualkalkül (3)
industrieanleihe (1)
Interne Zinssatzmethode (7)
interne zinssatzmethode (2)
investition (3)
investitionsentscheidung (1)
kapitalkostensatz (1)
kapitalmarktlinie (1)
Kapitalmarktlinie (1)
kapitalrentabilität (1)
kapitalwert (4)
kapitalwertmethode (2)
kapitalwertrate (5)
kernprinzipien (3)
Kombinationen (5)
kontokorrentkredit (1)
kreditarten (2)
kreditfinanzierung (1)
kreditlinie (1)
kuponanleihe (2)
kuponbond (1)
kuponzahlung (1)
langfristige kredite (1)
leerverkauf (1)
lieferantenkredit (1)
Mehrperiodige Verzinsung (2)
Mehrperiodige Zahlungsströme (3)
methodologie (1)
no-arbitrage-preis (2)
No-Arbitrage-Preis (1)
normaler markt (2)
Portefeuilleanteile (1)
Portefeuillerendite (2)
portefeuilles (1)
Portefeuilles (8)
portfeuilleanteil (1)
portfeuillerendite (1)
portfeuilles (1)
portfolio (2)
Rendite (5)
rendite (1)
renditen (1)
rentabilität (1)
rentabilitätsrechnung (1)
Rentenformeln (4)
rentenformeln (1)
risiko (3)
Risiko (7)
risikoaversion (3)
Risikobehaftete zahlungen (1)
risikolose anleihe (2)
risikolose Zahlungen (1)
risikoloses Wertpapier (2)
risikoprämie (3)
riskantes wertpapier (1)
riskantes Wertpapier (1)
riskolose anleihe (1)
schuldverschreibungen (1)
stammaktien (1)
statisiken (1)
Stetige Verzinsung (1)
tilgungsformen (1)
Unterjährige Verzinsung (3)
verbindlichkeiten (1)
vermögenswerte (1)
vorzugsaktien (1)
wandelanleihe (1)
wertadditivität (1)
wertpapier (6)
wertpapier. erwartete zahlungen (1)
Wertpapiermarktlinie (2)
wertschöfpung (1)
zerobond (3)
zinsformen (1)
Report abuse

Cancel
Email

Password

Login    

Forgot password?
Deutsch  English